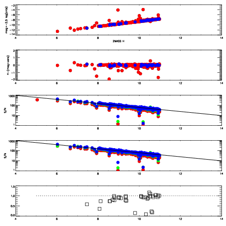
Left plots: red are targets, blue are telluric. Observed mags are calculated from median value of green chip. Zeropoint gives overall throughput: bigger number is more throughput.
First spatial plots: circles are objects, squares are tellurics, crosses are sky fibers. Colors give deviation of observed mag from expected 2MASS mag using the median zeropoint; red is brighter
Second spatial plots: circles are sky fibers. Colors give sky line brightness relative to plate median sky line brightness
FrameNreadsZeropointsMag plots Spatial mag deviation Spatial sky 16325A emission deviations (filled: sky, open: star) Spatial sky continuum emission Spatial sky telluric CO2 absorption deviations (filled: H < 10)
1970032 50
RedGreenBlue
z18.74
znorm14.49
sky 13.6 13.5 13.4
S/N 15.1 21.1 22.7
S/N(c) 14.2 19.9 21.3
SN(E/C) 0.89
1970033 50
RedGreenBlue
z18.78
znorm14.53
sky 13.6 13.6 13.6
S/N 15.6 21.6 23.4
S/N(c) 14.3 20.6 21.6
SN(E/C) 0.87
1970034 50
RedGreenBlue
z18.66
znorm14.41
sky 13.6 13.5 13.5
S/N 14.4 20.2 22.1
S/N(c) 13.3 18.9 20.4
SN(E/C) 0.94
1970035 50
RedGreenBlue
z18.80
znorm14.55
sky 13.7 13.5 13.7
S/N 15.7 21.9 23.4
S/N(c) 14.4 20.3 21.7
SN(E/C) 0.89
1970036 50
RedGreenBlue
z18.61
znorm14.37
sky 13.6 13.5 13.6
S/N 14.3 20.0 21.5
S/N(c) 12.8 18.6 20.2
SN(E/C) 0.87
1970037 50
RedGreenBlue
z18.01
znorm13.76
sky 13.1 13.1 13.1
S/N 9.1 13.5 15.1
S/N(c) 8.0 12.4 13.9
SN(E/C) 0.95
1970038 50
RedGreenBlue
z18.62
znorm14.37
sky 13.7 13.6 13.6
S/N 13.9 20.1 21.3
S/N(c) 12.6 18.6 20.0
SN(E/C) 0.92