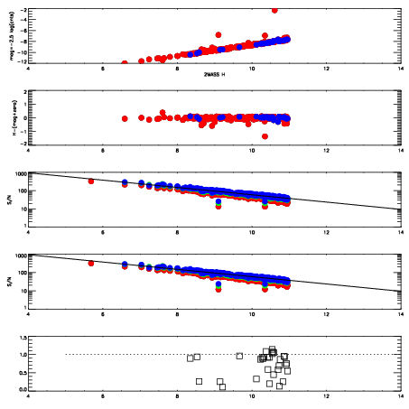
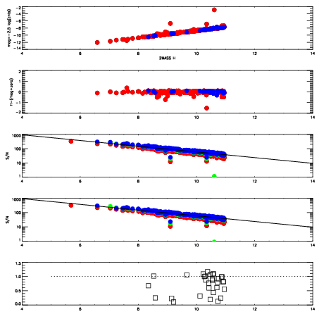
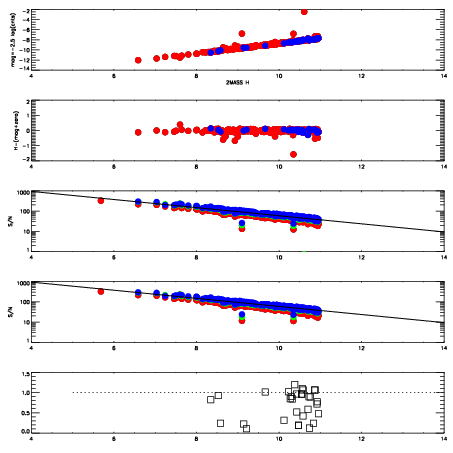
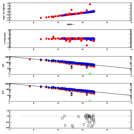
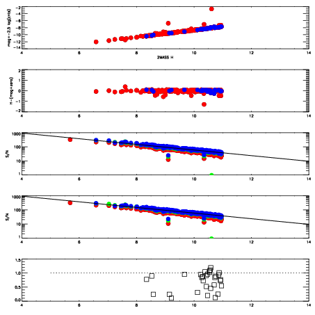
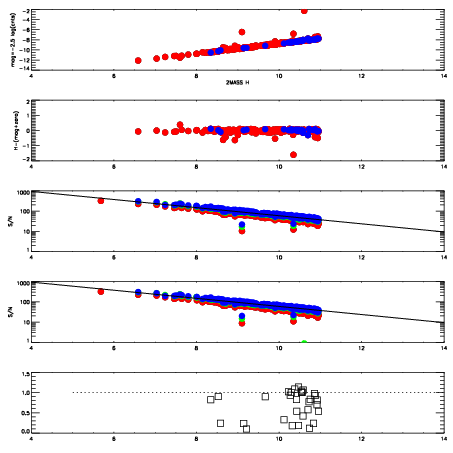
| Frame | Nreads | Zeropoints | Mag plots
| Spatial mag deviation
| Spatial sky 16325A emission deviations (filled: sky, open: star)
| Spatial sky continuum emission
| Spatial sky telluric CO2 absorption deviations (filled: H < 10)
|
| 4870070
| 47
| | Red | Green | Blue
| | z | | 18.88
| | znorm | | 14.70
| | sky | 13.9 | 13.8 | 13.7
| | S/N | 16.8 | 24.0 | 25.7
| | S/N(c) | 15.7 | 23.1 | 24.7
| | SN(E/C) | 0.78
|
|
|
|
|
|
|
| 4870071
| 47
| | Red | Green | Blue
| | z | | 18.89
| | znorm | | 14.71
| | sky | 14.0 | 13.9 | 13.9
| | S/N | 16.7 | 24.1 | 26.0
| | S/N(c) | 15.6 | 23.0 | 24.9
| | SN(E/C) | 0.76
|
|
|
|
|
|
|
| 4870072
| 47
| | Red | Green | Blue
| | z | | 18.72
| | znorm | | 14.54
| | sky | 14.1 | 13.9 | 14.0
| | S/N | 15.2 | 22.2 | 24.0
| | S/N(c) | 14.1 | 21.1 | 22.9
| | SN(E/C) | 0.84
|
|
|
|
|
|
|
| 4870073
| 47
| | Red | Green | Blue
| | z | | 18.73
| | znorm | | 14.55
| | sky | 13.9 | 14.0 | 14.0
| | S/N | 15.5 | 22.4 | 24.1
| | S/N(c) | 14.3 | 21.2 | 23.0
| | SN(E/C) | 0.82
|
|
|
|
|
|
|
| 4870074
| 47
| | Red | Green | Blue
| | z | | 18.80
| | znorm | | 14.62
| | sky | 13.9 | 13.9 | 14.0
| | S/N | 15.9 | 23.3 | 24.9
| | S/N(c) | 14.9 | 22.1 | 23.7
| | SN(E/C) | 0.82
|
|
|
|
|
|
|
| 4870075
| 47
| | Red | Green | Blue
| | z | | 18.64
| | znorm | | 14.46
| | sky | 14.0 | 14.1 | 14.0
| | S/N | 14.8 | 21.4 | 23.1
| | S/N(c) | 13.5 | 20.2 | 21.8
| | SN(E/C) | 0.87
|
|
|
|
|
|
|
| 4870076
| 47
| | Red | Green | Blue
| | z | | 18.75
| | znorm | | 14.57
| | sky | 14.0 | 14.0 | 14.0
| | S/N | 15.7 | 22.8 | 24.5
| | S/N(c) | 14.4 | 21.5 | 23.1
| | SN(E/C) | 0.82
|
|
|
|
|
|
|
| 4870077
| 47
| | Red | Green | Blue
| | z | | 18.68
| | znorm | | 14.50
| | sky | 14.0 | 14.0 | 13.9
| | S/N | 15.3 | 22.2 | 23.6
| | S/N(c) | 14.1 | 20.7 | 22.4
| | SN(E/C) | 0.84
|
|
|
|
|
|
|