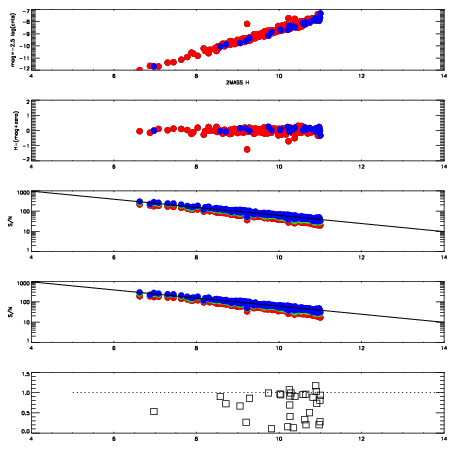
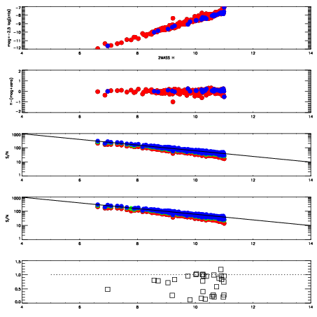
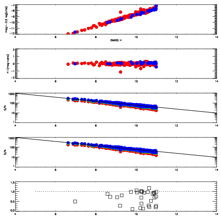
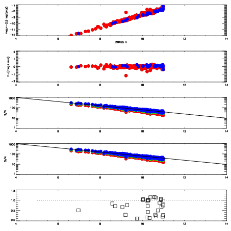
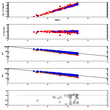
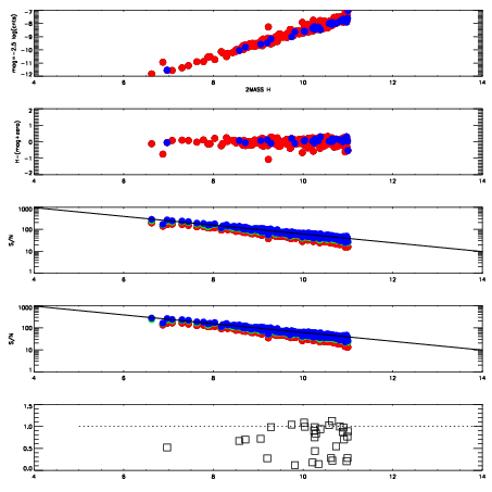
Left plots: red are targets, blue are telluric. Observed mags are calculated from median value of green chip. Zeropoint gives overall throughput: bigger number is more throughput.
First spatial plots: circles are objects, squares are tellurics, crosses are sky fibers. Colors give deviation of observed mag from expected 2MASS mag using the median zeropoint; red is brighter
Second spatial plots: circles are sky fibers. Colors give sky line brightness relative to plate median sky line brightness
FrameNreadsZeropointsMag plots Spatial mag deviation Spatial sky 16325A emission deviations (filled: sky, open: star) Spatial sky continuum emission Spatial sky telluric CO2 absorption deviations (filled: H < 10)
1960031 50
RedGreenBlue
z18.66
znorm14.41
sky 13.7 13.4 13.4
S/N 14.5 20.4 22.2
S/N(c) 13.2 19.2 20.7
SN(E/C) 0.81
1960032 50
RedGreenBlue
z18.62
znorm14.37
sky 13.6 13.4 13.6
S/N 14.2 20.4 22.1
S/N(c) 12.9 18.7 20.4
SN(E/C) 0.75
1960033 50
RedGreenBlue
z18.61
znorm14.37
sky 13.7 13.6 13.7
S/N 14.0 20.1 21.9
S/N(c) 12.8 18.6 20.4
SN(E/C) 0.72
1960034 50
RedGreenBlue
z18.57
znorm14.32
sky 13.7 13.5 13.7
S/N 13.4 19.8 21.2
S/N(c) 12.2 18.4 19.9
SN(E/C) 0.78
1960035 50
RedGreenBlue
z18.59
znorm14.34
sky 13.7 13.5 13.7
S/N 14.1 20.3 21.9
S/N(c) 12.7 18.4 20.2
SN(E/C) 0.78
1960036 50
RedGreenBlue
z18.58
znorm14.34
sky 13.8 13.6 13.7
S/N 13.9 20.0 21.9
S/N(c) 12.6 18.5 20.4
SN(E/C) 0.78
1960037 50
RedGreenBlue
z18.56
znorm14.31
sky 13.7 13.5 13.6
S/N 13.7 19.8 21.6
S/N(c) 12.4 18.2 19.9
SN(E/C) 0.75