PLATE: 5213 MJD: 55811 FIELD: N6791

FrameCartsec zseeingNreadsDitherPixshiftZerosky continuumS/NS/N(c)
2490016 4 1.05 1.28 47 0.00 0.00 18.98 [14.17,13.93,13.87] [ 15.3, 24.7, 26.9] [ 13.7, 23.3, 26.1]
2490017 4 1.04 1.26 47 0.29 0.00 18.92 [14.28,14.22,14.31] [ 14.3, 23.7, 25.9] [ 13.0, 22.4, 24.8]
2490018 4 1.03 1.11 47 0.29 0.00 18.95 [14.29,14.27,14.25] [ 14.2, 24.1, 26.1] [ 12.9, 22.7, 24.5]
2490019 4 1.02 1.17 47 -0.01 0.00 18.96 [14.22,14.25,14.31] [ 14.3, 23.8, 25.9] [ 13.1, 22.4, 24.6]
2490020 4 1.02 1.42 47 -0.01 0.00 19.03 [14.43,14.25,14.25] [ 15.3, 24.9, 26.7] [ 13.9, 23.2, 25.5]
2490021 4 1.01 1.35 47 0.30 -0.00 18.82 [14.31,14.23,14.32] [ 13.4, 22.6, 24.1] [ 12.1, 21.1, 22.6]
2490022 4 1.01 2.11 47 0.30 0.00 18.84 [14.27,14.30,14.28] [ 13.7, 22.6, 24.0] [ 12.3, 21.1, 22.7]
2490023 4 1.01 1.54 47 -0.01 -0.00 18.96 [14.16,14.23,14.25] [ 14.5, 24.5, 25.7] [ 12.9, 22.8, 24.6]

IPAIRNAMESHIFTNEWSHIFTS/N NAMESHIFTNEWSHIFTS/N
0 02490022 0.295 0.000 212.75 02490019 -0.011 0.306 229.99
1 02490018 0.290 0.005 230.27 02490016 0.000 0.295 241.09
2 02490017 0.289 0.007 228.08 02490020 -0.010 0.305 236.05
3 02490021 0.295 0.000 211.27 02490023 -0.008 0.303 224.30

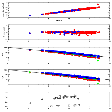
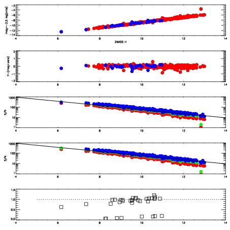
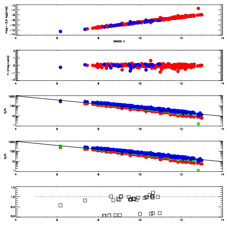
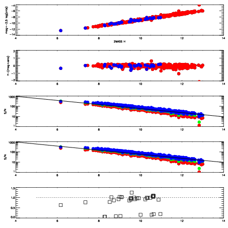
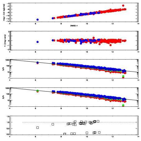
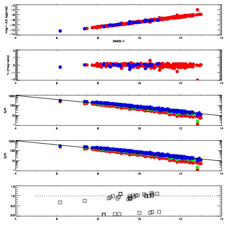
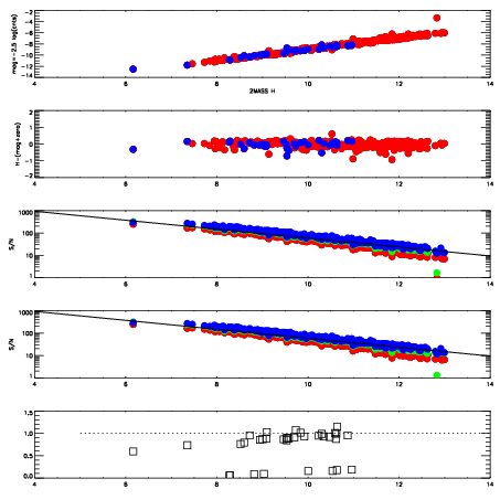
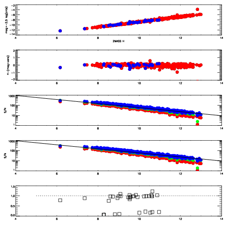
Visit (multiple exposure and dither combined) spectra

FrameZeropointsMag plots Spatial mag deviation Spatial sky 16325A emission deviations (filled: sky, open: star) Spatial sky continuum emission Spatial sky telluric CO2 absorption deviations (filled: H < 10)
2490016
RedGreenBlue
z18.98
znorm14.80
sky 14.2 13.9 13.9
S/N 15.3 24.7 26.9
S/N(c) 13.7 23.3 26.1
SN(E/C) 0.88
2490017
RedGreenBlue
z18.92
znorm14.73
sky 14.3 14.2 14.3
S/N 14.3 23.7 25.9
S/N(c) 13.0 22.4 24.8
SN(E/C) 0.95
2490018
RedGreenBlue
z18.95
znorm14.77
sky 14.3 14.3 14.2
S/N 14.2 24.1 26.1
S/N(c) 12.9 22.7 24.5
SN(E/C) 0.87
2490019
RedGreenBlue
z18.96
znorm14.78
sky 14.2 14.2 14.3
S/N 14.3 23.8 25.9
S/N(c) 13.1 22.4 24.6
SN(E/C) 0.95
2490020
RedGreenBlue
z19.03
znorm14.85
sky 14.4 14.3 14.3
S/N 15.3 24.9 26.7
S/N(c) 13.9 23.2 25.5
SN(E/C) 0.89
2490021
RedGreenBlue
z18.82
znorm14.64
sky 14.3 14.2 14.3
S/N 13.4 22.6 24.1
S/N(c) 12.1 21.1 22.6
SN(E/C) 0.94
2490022
RedGreenBlue
z18.84
znorm14.65
sky 14.3 14.3 14.3
S/N 13.7 22.6 24.0
S/N(c) 12.3 21.1 22.7
SN(E/C) 0.96
2490023
RedGreenBlue
z18.96
znorm14.78
sky 14.2 14.2 14.2
S/N 14.5 24.5 25.7
S/N(c) 12.9 22.8 24.6
SN(E/C) 0.92