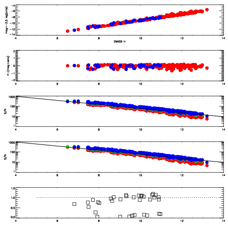
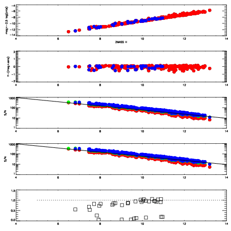
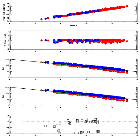
| Frame | Nreads | Zeropoints | Mag plots
| Spatial mag deviation
| Spatial sky 16325A emission deviations (filled: sky, open: star)
| Spatial sky continuum emission
| Spatial sky telluric CO2 absorption deviations (filled: H < 10)
|
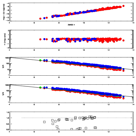
| 3040008
| 47
| | Red | Green | Blue
| | z | | 19.10
| | znorm | | 14.92
| | sky | 14.4 | 14.1 | 13.9
| | S/N | 16.1 | 26.6 | 27.2
| | S/N(c) | 14.3 | 24.6 | 25.8
| | SN(E/C) | 0.86
|
|
|
|
|
|
|
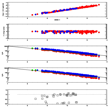
| 3040009
| 47
| | Red | Green | Blue
| | z | | 19.16
| | znorm | | 14.98
| | sky | 14.3 | 14.2 | 14.3
| | S/N | 16.4 | 27.1 | 28.1
| | S/N(c) | 14.7 | 25.0 | 26.6
| | SN(E/C) | 0.88
|
|
|
|
|
|
|
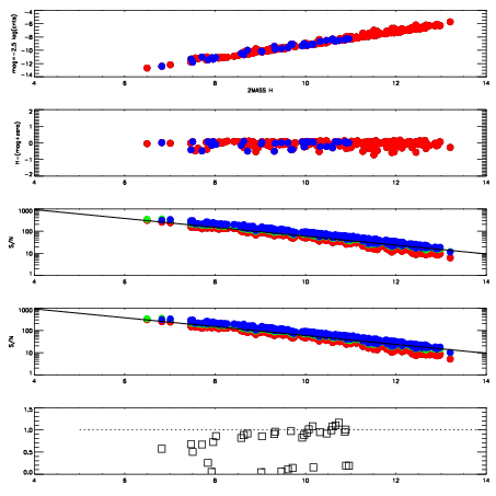
| 3040010
| 47
| | Red | Green | Blue
| | z | | 19.16
| | znorm | | 14.98
| | sky | 14.5 | 14.3 | 14.3
| | S/N | 16.2 | 27.0 | 27.9
| | S/N(c) | 14.7 | 24.8 | 26.5
| | SN(E/C) | 0.89
|
|
|
|
|
|
|
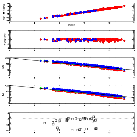
| 3040011
| 47
| | Red | Green | Blue
| | z | | 19.20
| | znorm | | 15.02
| | sky | 14.5 | 14.3 | 14.4
| | S/N | 16.8 | 27.5 | 28.5
| | S/N(c) | 15.1 | 25.7 | 27.2
| | SN(E/C) | 0.84
|
|
|
|
|
|
|
| 3040012
| 47
| | Red | Green | Blue
| | z | | 19.21
| | znorm | | 15.03
| | sky | 14.5 | 14.4 | 14.4
| | S/N | 16.7 | 27.6 | 28.8
| | S/N(c) | 15.0 | 25.5 | 27.4
| | SN(E/C) | 0.86
|
|
|
|
|
|
|
| 3040013
| 47
| | Red | Green | Blue
| | z | | 19.19
| | znorm | | 15.01
| | sky | 14.5 | 14.4 | 14.4
| | S/N | 16.5 | 27.0 | 28.7
| | S/N(c) | 15.0 | 25.3 | 27.3
| | SN(E/C) | 0.87
|
|
|
|
|
|
|
| 3040014
| 47
| | Red | Green | Blue
| | z | | 19.13
| | znorm | | 14.95
| | sky | 14.3 | 14.4 | 14.5
| | S/N | 15.3 | 26.4 | 27.6
| | S/N(c) | 13.8 | 24.8 | 26.3
| | SN(E/C) | 0.90
|
|
|
|
|
|
|
| 3040015
| 47
| | Red | Green | Blue
| | z | | 19.12
| | znorm | | 14.94
| | sky | 14.5 | 14.4 | 14.4
| | S/N | 15.7 | 26.4 | 27.9
| | S/N(c) | 13.9 | 24.6 | 26.6
| | SN(E/C) | 0.88
|
|
|
|
|
|
|