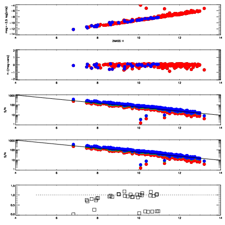
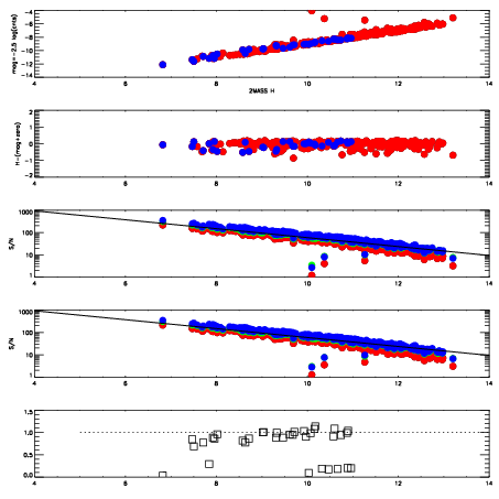
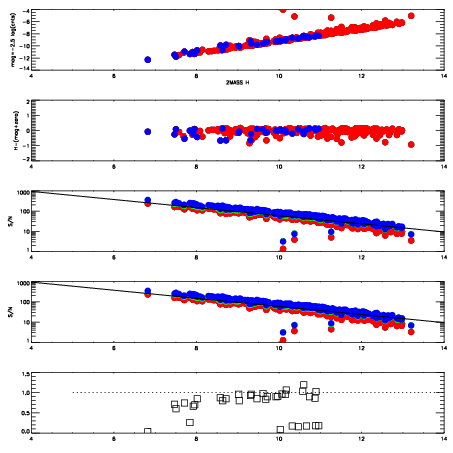
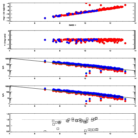
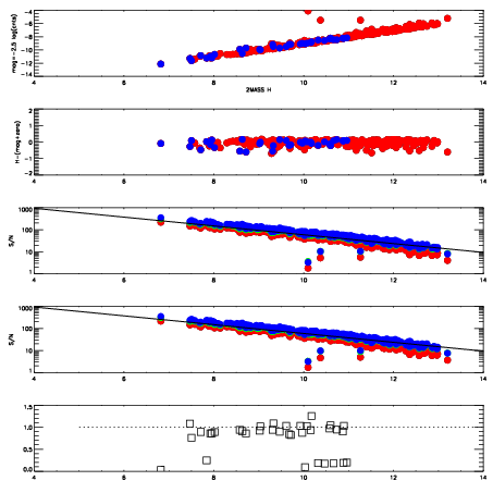
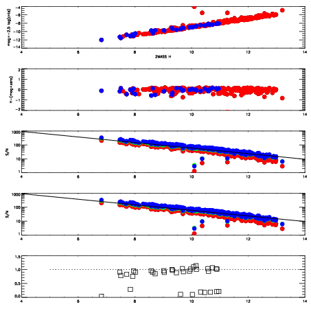
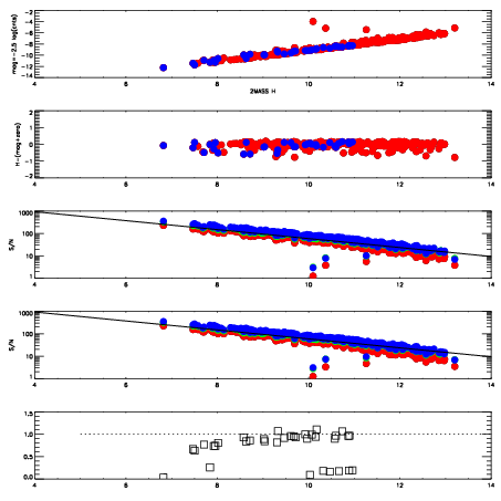
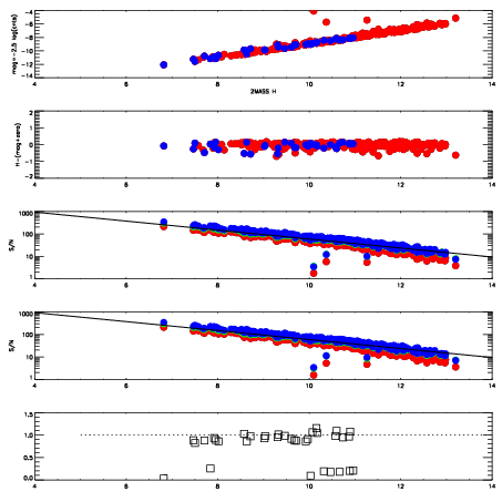
| Frame | Nreads | Zeropoints | Mag plots
| Spatial mag deviation
| Spatial sky 16325A emission deviations (filled: sky, open: star)
| Spatial sky continuum emission
| Spatial sky telluric CO2 absorption deviations (filled: H < 10)
|
| 2610013
| 47
| | Red | Green | Blue
| | z | | 19.10
| | znorm | | 14.92
| | sky | 14.4 | 14.2 | 14.0
| | S/N | 16.8 | 26.8 | 27.9
| | S/N(c) | 15.0 | 25.2 | 25.9
| | SN(E/C) | 0.87
|
|
|
|
|
|
|
| 2610014
| 47
| | Red | Green | Blue
| | z | | 18.97
| | znorm | | 14.79
| | sky | 14.5 | 14.4 | 14.4
| | S/N | 14.8 | 24.8 | 25.8
| | S/N(c) | 13.0 | 23.0 | 24.0
| | SN(E/C) | 0.91
|
|
|
|
|
|
|
| 2610015
| 47
| | Red | Green | Blue
| | z | | 19.03
| | znorm | | 14.85
| | sky | 14.5 | 14.5 | 14.5
| | S/N | 15.8 | 25.7 | 27.0
| | S/N(c) | 13.8 | 23.9 | 25.0
| | SN(E/C) | 0.90
|
|
|
|
|
|
|
| 2610016
| 47
| | Red | Green | Blue
| | z | | 19.11
| | znorm | | 14.93
| | sky | 14.4 | 14.5 | 14.5
| | S/N | 16.4 | 26.4 | 28.0
| | S/N(c) | 14.4 | 24.7 | 26.1
| | SN(E/C) | 0.91
|
|
|
|
|
|
|
| 2610017
| 47
| | Red | Green | Blue
| | z | | 19.18
| | znorm | | 15.00
| | sky | 14.5 | 14.4 | 14.5
| | S/N | 16.9 | 27.0 | 28.8
| | S/N(c) | 15.2 | 25.4 | 27.2
| | SN(E/C) | 0.85
|
|
|
|
|
|
|
| 2610018
| 47
| | Red | Green | Blue
| | z | | 18.93
| | znorm | | 14.75
| | sky | 14.5 | 14.5 | 14.6
| | S/N | 14.8 | 24.1 | 25.5
| | S/N(c) | 12.8 | 22.6 | 23.7
| | SN(E/C) | 0.91
|
|
|
|
|
|
|
| 2610019
| 47
| | Red | Green | Blue
| | z | | 19.11
| | znorm | | 14.93
| | sky | 14.4 | 14.5 | 14.5
| | S/N | 16.7 | 25.9 | 27.5
| | S/N(c) | 14.6 | 24.2 | 25.9
| | SN(E/C) | 0.86
|
|
|
|
|
|
|
| 2610020
| 47
| | Red | Green | Blue
| | z | | 18.99
| | znorm | | 14.81
| | sky | 14.3 | 14.6 | 14.5
| | S/N | 15.3 | 24.3 | 25.6
| | S/N(c) | 13.4 | 22.6 | 24.0
| | SN(E/C) | 0.89
|
|
|
|
|
|
|