PLATE: 5215 MJD: 55851 FIELD: N6819

FrameCartsec zseeingNreadsDitherPixshiftZerosky continuumS/NS/N(c)
2890027 1 1.10 1.18 47 0.00 -0.00 19.19 [14.70,14.23,14.23] [ 17.3, 27.9, 30.9] [ 15.0, 26.6, 29.0]
2890028 1 1.11 1.14 47 0.27 0.00 19.20 [14.49,14.33,14.57] [ 17.1, 27.9, 30.9] [ 15.1, 26.5, 29.3]
2890029 1 1.13 1.36 47 0.27 -0.00 19.19 [14.47,14.38,14.54] [ 17.0, 28.0, 30.9] [ 15.2, 26.6, 29.5]
2890030 1 1.15 1.25 47 -0.03 -0.00 19.14 [14.40,14.41,14.44] [ 16.6, 27.6, 29.9] [ 14.6, 25.6, 28.6]
2890031 1 1.17 1.28 47 -0.03 0.00 19.19 [14.61,14.48,14.46] [ 17.6, 28.2, 30.4] [ 15.2, 26.1, 29.3]
2890032 1 1.19 1.21 47 0.27 0.00 19.21 [14.46,14.35,14.43] [ 17.7, 28.9, 30.8] [ 15.6, 27.0, 29.9]
2890033 1 1.21 1.19 47 0.27 0.00 19.12 [14.62,14.46,14.53] [ 16.5, 27.3, 29.4] [ 14.4, 25.2, 27.9]
2890034 1 1.23 1.47 47 -0.02 -0.00 18.91 [14.49,14.54,14.62] [ 14.3, 24.2, 26.5] [ 12.3, 22.1, 24.9]

IPAIRNAMESHIFTNEWSHIFTS/N NAMESHIFTNEWSHIFTS/N
0 02890033 0.268 0.000 209.31 02890034 -0.025 0.293 192.84
1 02890032 0.267 0.002 217.45 02890031 -0.030 0.298 214.18
2 02890029 0.268 0.000 213.60 02890027 0.000 0.268 213.09
3 02890028 0.268 0.000 212.67 02890030 -0.032 0.300 208.77

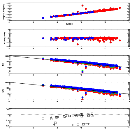
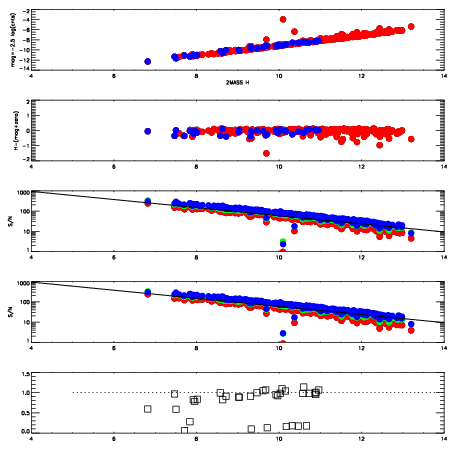
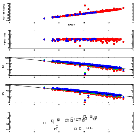
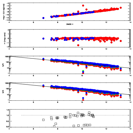
Visit (multiple exposure and dither combined) spectra

FrameZeropointsMag plots Spatial mag deviation Spatial sky 16325A emission deviations (filled: sky, open: star) Spatial sky continuum emission Spatial sky telluric CO2 absorption deviations (filled: H < 10)
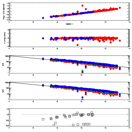
2890027
RedGreenBlue
z19.19
znorm15.01
sky 14.7 14.2 14.2
S/N 17.3 27.9 30.9
S/N(c) 15.0 26.6 29.0
SN(E/C) 0.84
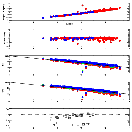
2890028
RedGreenBlue
z19.20
znorm15.02
sky 14.5 14.3 14.6
S/N 17.1 27.9 30.9
S/N(c) 15.1 26.5 29.3
SN(E/C) 0.86
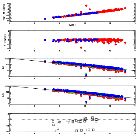
2890029
RedGreenBlue
z19.19
znorm15.01
sky 14.5 14.4 14.5
S/N 17.0 28.0 30.9
S/N(c) 15.2 26.6 29.5
SN(E/C) 0.83
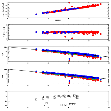
2890030
RedGreenBlue
z19.14
znorm14.96
sky 14.4 14.4 14.4
S/N 16.6 27.6 29.9
S/N(c) 14.6 25.6 28.6
SN(E/C) 0.91
2890031
RedGreenBlue
z19.19
znorm15.01
sky 14.6 14.5 14.5
S/N 17.6 28.2 30.4
S/N(c) 15.2 26.1 29.3
SN(E/C) 0.86
2890032
RedGreenBlue
z19.21
znorm15.03
sky 14.5 14.4 14.4
S/N 17.7 28.9 30.8
S/N(c) 15.6 27.0 29.9
SN(E/C) 0.84
2890033
RedGreenBlue
z19.12
znorm14.94
sky 14.6 14.5 14.5
S/N 16.5 27.3 29.4
S/N(c) 14.4 25.2 27.9
SN(E/C) 0.86
2890034
RedGreenBlue
z18.91
znorm14.73
sky 14.5 14.5 14.6
S/N 14.3 24.2 26.5
S/N(c) 12.3 22.1 24.9
SN(E/C) 0.88