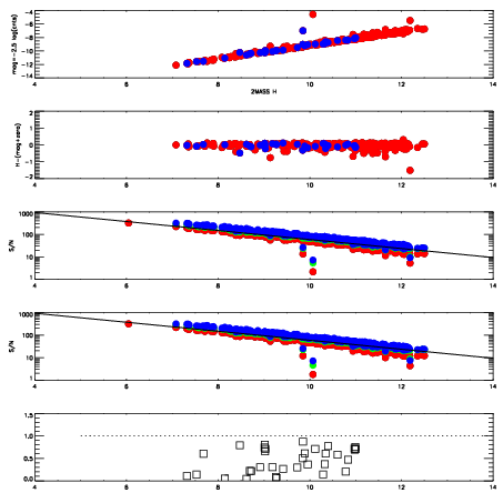
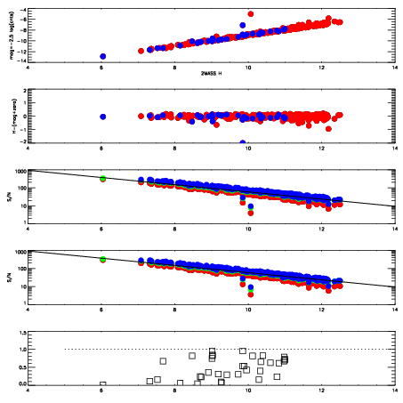
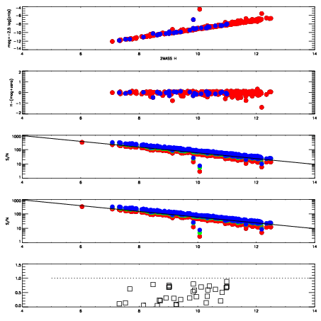
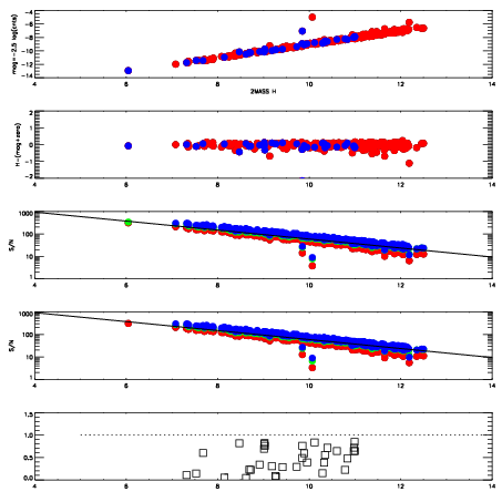
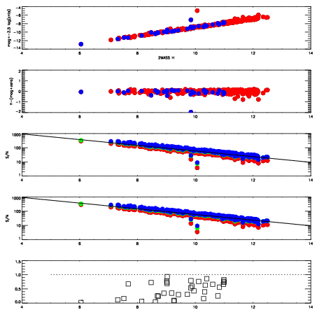
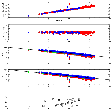
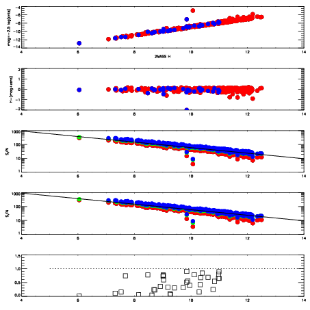
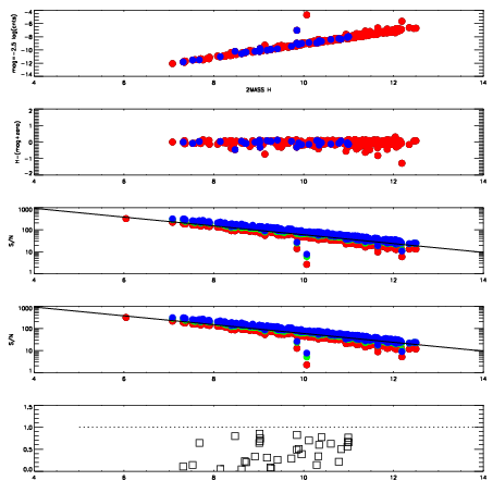
| Frame | Nreads | Zeropoints | Mag plots
| Spatial mag deviation
| Spatial sky 16325A emission deviations (filled: sky, open: star)
| Spatial sky continuum emission
| Spatial sky telluric CO2 absorption deviations (filled: H < 10)
|
| 3050009
| 47
| | Red | Green | Blue
| | z | | 18.92
| | znorm | | 14.74
| | sky | 14.2 | 14.1 | 14.0
| | S/N | 14.3 | 23.6 | 24.1
| | S/N(c) | 12.7 | 21.3 | 22.0
| | SN(E/C) | 0.53
|
|
|
|
|
|
|
| 3050010
| 47
| | Red | Green | Blue
| | z | | 18.94
| | znorm | | 14.76
| | sky | 14.5 | 14.3 | 14.3
| | S/N | 14.0 | 23.7 | 24.3
| | S/N(c) | 12.5 | 21.3 | 22.5
| | SN(E/C) | 0.51
|
|
|
|
|
|
|
| 3050011
| 47
| | Red | Green | Blue
| | z | | 18.96
| | znorm | | 14.78
| | sky | 14.4 | 14.4 | 14.4
| | S/N | 14.0 | 23.5 | 24.8
| | S/N(c) | 12.4 | 21.4 | 22.4
| | SN(E/C) | 0.51
|
|
|
|
|
|
|
| 3050012
| 47
| | Red | Green | Blue
| | z | | 18.96
| | znorm | | 14.78
| | sky | 14.5 | 14.4 | 14.5
| | S/N | 13.9 | 23.7 | 24.6
| | S/N(c) | 12.4 | 21.4 | 22.2
| | SN(E/C) | 0.53
|
|
|
|
|
|
|
| 3050013
| 47
| | Red | Green | Blue
| | z | | 19.06
| | znorm | | 14.88
| | sky | 14.6 | 14.5 | 14.4
| | S/N | 14.6 | 24.8 | 26.0
| | S/N(c) | 13.0 | 22.4 | 23.8
| | SN(E/C) | 0.49
|
|
|
|
|
|
|
| 3050014
| 47
| | Red | Green | Blue
| | z | | 19.13
| | znorm | | 14.95
| | sky | 14.5 | 14.5 | 14.5
| | S/N | 15.8 | 25.9 | 27.3
| | S/N(c) | 13.7 | 24.1 | 25.1
| | SN(E/C) | 0.50
|
|
|
|
|
|
|
| 3050015
| 47
| | Red | Green | Blue
| | z | | 19.16
| | znorm | | 14.98
| | sky | 14.6 | 14.4 | 14.4
| | S/N | 16.1 | 26.2 | 27.5
| | S/N(c) | 13.9 | 24.3 | 25.4
| | SN(E/C) | 0.53
|
|
|
|
|
|
|
| 3050016
| 47
| | Red | Green | Blue
| | z | | 19.18
| | znorm | | 15.00
| | sky | 14.5 | 14.4 | 14.4
| | S/N | 16.1 | 26.1 | 27.7
| | S/N(c) | 13.9 | 24.3 | 25.6
| | SN(E/C) | 0.50
|
|
|
|
|
|
|