PLATE: 5217 MJD: 56164 FIELD: M71

FrameCartsec zseeingNreadsDitherPixshiftZerosky continuumS/NS/N(c)
6020026 3 1.03 1.75 47 0.00 0.00 19.07 [14.20,13.99,14.12] [ 15.6, 25.2, 27.0] [ 14.0, 23.3, 25.5]
6020027 3 1.04 1.46 47 0.47 0.00 19.06 [14.18,14.15,14.35] [ 15.4, 24.6, 27.3] [ 13.7, 23.1, 25.6]
6020028 3 1.04 1.68 47 0.47 0.00 18.96 [14.26,14.15,14.44] [ 14.2, 23.5, 25.8] [ 12.9, 21.9, 23.8]
6020029 3 1.05 1.71 47 0.03 -0.00 19.07 [14.26,14.15,14.27] [ 15.4, 25.0, 27.3] [ 13.6, 23.2, 25.2]
6020030 3 1.05 1.46 47 0.03 0.00 19.11 [14.18,14.12,14.31] [ 15.8, 25.0, 27.8] [ 14.1, 23.6, 25.6]
6020031 3 1.06 1.48 47 0.47 0.00 18.98 [14.39,14.08,14.28] [ 14.6, 23.6, 26.1] [ 13.0, 22.2, 24.2]
6020032 3 1.07 1.52 47 0.47 0.00 18.98 [14.19,14.12,14.27] [ 14.4, 23.6, 25.9] [ 12.8, 21.9, 23.9]
6020033 3 1.08 1.50 47 0.03 -0.00 19.11 [14.15,14.09,14.19] [ 15.7, 25.6, 27.7] [ 14.1, 23.9, 25.8]
6020034 3 1.09 1.63 47 0.03 0.00 19.08 [14.26,14.15,14.20] [ 15.4, 25.0, 27.1] [ 13.8, 23.2, 25.0]
6020035 3 1.11 1.57 47 0.47 0.00 19.08 [14.30,14.16,14.21] [ 15.2, 24.9, 27.2] [ 13.5, 23.5, 25.2]

IPAIRNAMESHIFTNEWSHIFTS/N NAMESHIFTNEWSHIFTS/N
0 06020031 0.471 0.000 240.50 06020029 0.033 0.438 248.16
1 06020035 0.469 0.002 254.53 06020030 0.031 0.440 256.69
2 06020027 0.470 0.000 243.13 06020033 0.030 0.441 255.28
3 06020032 0.470 0.001 241.94 06020034 0.030 0.441 250.12
4 06020028 0.469 0.002 235.75 06020026 0.000 0.471 243.10

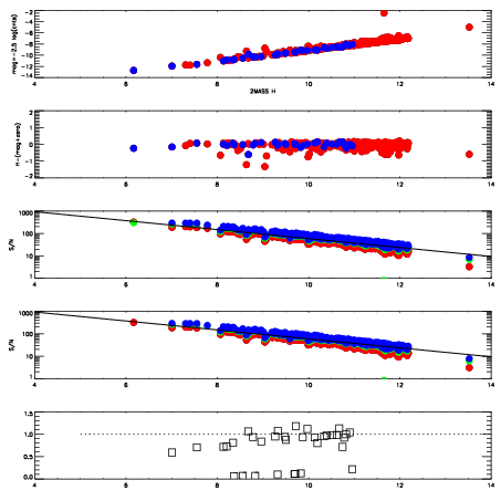
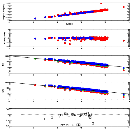
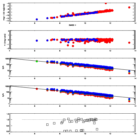
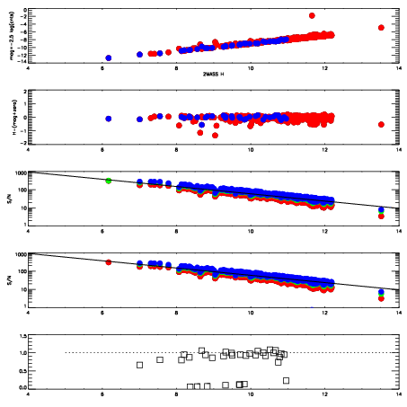
Visit (multiple exposure and dither combined) spectra

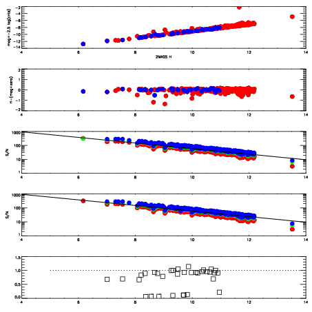
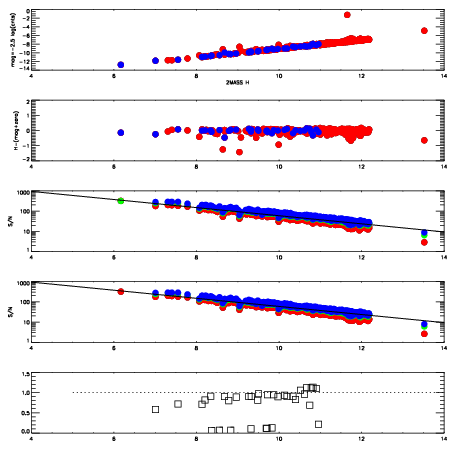
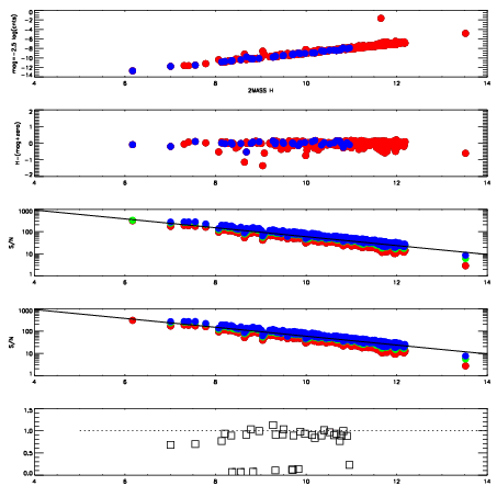
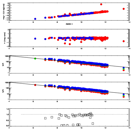
FrameZeropointsMag plots Spatial mag deviation Spatial sky 16325A emission deviations (filled: sky, open: star) Spatial sky continuum emission Spatial sky telluric CO2 absorption deviations (filled: H < 10)
6020026
RedGreenBlue
z19.07
znorm14.89
sky 14.2 14.0 14.1
S/N 15.6 25.2 27.0
S/N(c) 14.0 23.3 25.5
SN(E/C) 0.89
6020027
RedGreenBlue
z19.06
znorm14.88
sky 14.2 14.2 14.4
S/N 15.4 24.6 27.3
S/N(c) 13.7 23.1 25.6
SN(E/C) 0.90
6020028
RedGreenBlue
z18.96
znorm14.78
sky 14.3 14.2 14.4
S/N 14.2 23.5 25.8
S/N(c) 12.9 21.9 23.8
SN(E/C) 0.89
6020029
RedGreenBlue
z19.07
znorm14.89
sky 14.3 14.2 14.3
S/N 15.4 25.0 27.3
S/N(c) 13.6 23.2 25.2
SN(E/C) 0.91
6020030
RedGreenBlue
z19.11
znorm14.93
sky 14.2 14.1 14.3
S/N 15.8 25.0 27.8
S/N(c) 14.1 23.6 25.6
SN(E/C) 0.92
6020031
RedGreenBlue
z18.98
znorm14.80
sky 14.4 14.1 14.3
S/N 14.6 23.6 26.1
S/N(c) 13.0 22.2 24.2
SN(E/C) 0.94
6020032
RedGreenBlue
z18.98
znorm14.80
sky 14.2 14.1 14.3
S/N 14.4 23.6 25.9
S/N(c) 12.8 21.9 23.9
SN(E/C) 0.92
6020033
RedGreenBlue
z19.11
znorm14.93
sky 14.1 14.1 14.2
S/N 15.7 25.6 27.7
S/N(c) 14.1 23.9 25.8
SN(E/C) 0.92
6020034
RedGreenBlue
z19.08
znorm14.90
sky 14.3 14.1 14.2
S/N 15.4 25.0 27.1
S/N(c) 13.8 23.2 25.0
SN(E/C) 0.89
6020035
RedGreenBlue
z19.08
znorm14.90
sky 14.3 14.2 14.2
S/N 15.2 24.9 27.2
S/N(c) 13.5 23.5 25.2
SN(E/C) 0.91