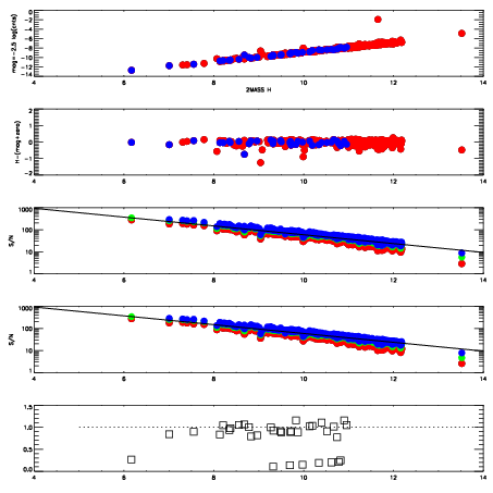
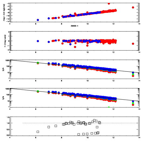
| Frame | Nreads | Zeropoints | Mag plots
| Spatial mag deviation
| Spatial sky 16325A emission deviations (filled: sky, open: star)
| Spatial sky continuum emission
| Spatial sky telluric CO2 absorption deviations (filled: H < 10)
|
| 6070025
| 47
| | Red | Green | Blue
| | z | | 18.94
| | znorm | | 14.76
| | sky | 14.5 | 14.3 | 14.3
| | S/N | 14.3 | 22.7 | 24.6
| | S/N(c) | 12.5 | 21.2 | 23.2
| | SN(E/C) | 0.90
|
|
|
|
|
|
|
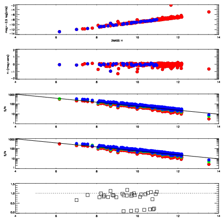
| 6070026
| 47
| | Red | Green | Blue
| | z | | 18.94
| | znorm | | 14.76
| | sky | 14.4 | 14.2 | 14.5
| | S/N | 13.7 | 22.6 | 24.9
| | S/N(c) | 12.0 | 21.0 | 23.4
| | SN(E/C) | 0.96
|
|
|
|
|
|
|
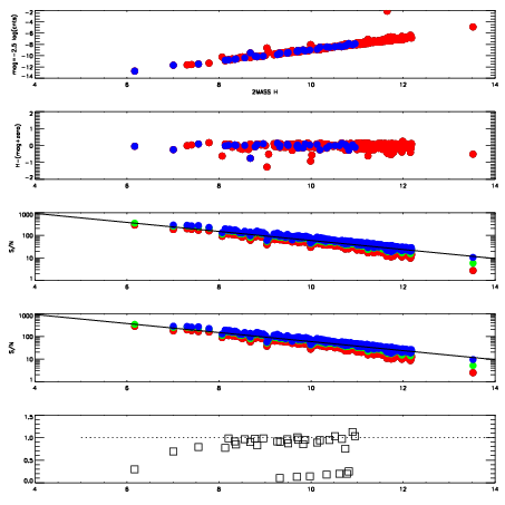
| 6070027
| 47
| | Red | Green | Blue
| | z | | 18.93
| | znorm | | 14.75
| | sky | 14.4 | 14.2 | 14.4
| | S/N | 14.0 | 22.6 | 24.7
| | S/N(c) | 12.2 | 20.9 | 23.0
| | SN(E/C) | 0.95
|
|
|
|
|
|
|
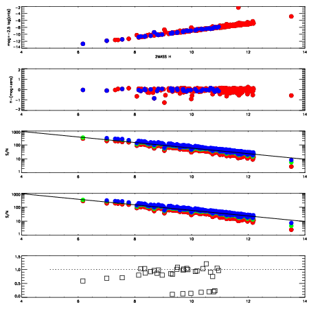
| 6070028
| 47
| | Red | Green | Blue
| | z | | 18.89
| | znorm | | 14.71
| | sky | 14.3 | 14.3 | 14.4
| | S/N | 13.7 | 22.2 | 24.1
| | S/N(c) | 12.0 | 20.5 | 22.5
| | SN(E/C) | 0.91
|
|
|
|
|
|
|
| 6070029
| 47
| | Red | Green | Blue
| | z | | 18.92
| | znorm | | 14.74
| | sky | 14.2 | 14.2 | 14.4
| | S/N | 13.9 | 23.2 | 24.5
| | S/N(c) | 12.1 | 21.4 | 22.7
| | SN(E/C) | 0.90
|
|
|
|
|
|
|
| 6070030
| 47
| | Red | Green | Blue
| | z | | 18.96
| | znorm | | 14.78
| | sky | 14.3 | 14.3 | 14.4
| | S/N | 14.4 | 23.9 | 24.8
| | S/N(c) | 12.7 | 22.0 | 23.2
| | SN(E/C) | 0.94
|
|
|
|
|
|
|
| 6070031
| 47
| | Red | Green | Blue
| | z | | 18.95
| | znorm | | 14.77
| | sky | 14.2 | 14.3 | 14.4
| | S/N | 14.0 | 23.1 | 25.0
| | S/N(c) | 12.4 | 21.7 | 23.3
| | SN(E/C) | 0.90
|
|
|
|
|
|
|
| 6070032
| 47
| | Red | Green | Blue
| | z | | 19.07
| | znorm | | 14.89
| | sky | 14.4 | 14.3 | 14.3
| | S/N | 15.3 | 24.9 | 26.6
| | S/N(c) | 13.5 | 23.2 | 25.0
| | SN(E/C) | 0.89
|
|
|
|
|
|
|