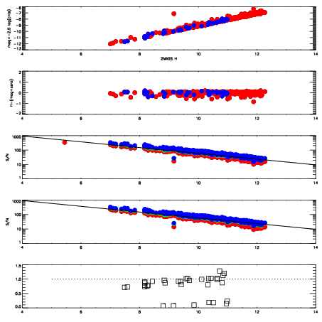
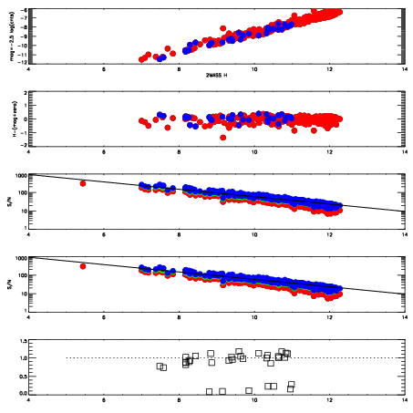
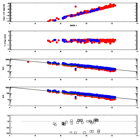
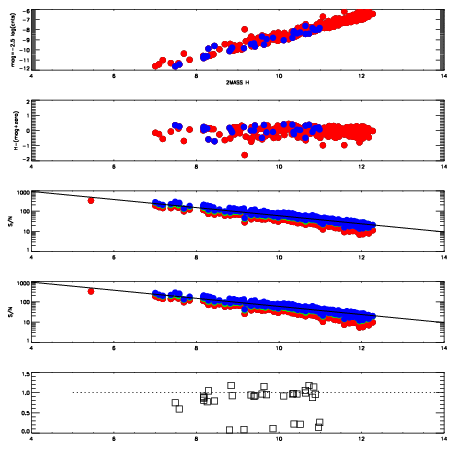
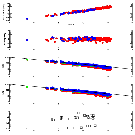
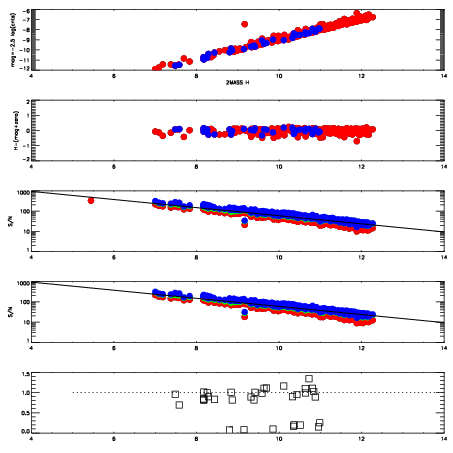
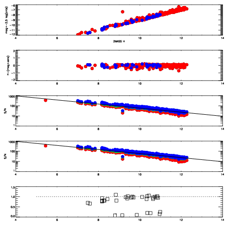
| Frame | Nreads | Zeropoints | Mag plots
| Spatial mag deviation
| Spatial sky 16325A emission deviations (filled: sky, open: star)
| Spatial sky continuum emission
| Spatial sky telluric CO2 absorption deviations (filled: H < 10)
|
| 2590026
| 47
| | Red | Green | Blue
| | z | | 19.09
| | znorm | | 14.91
| | sky | 14.8 | 14.5 | 13.7
| | S/N | 14.9 | 23.9 | 24.1
| | S/N(c) | 13.1 | 22.4 | 24.7
| | SN(E/C) | 0.87
|
|
|
|
|
|
|
| 2590027
| 47
| | Red | Green | Blue
| | z | | 19.02
| | znorm | | 14.84
| | sky | 14.7 | 14.5 | 14.1
| | S/N | 13.9 | 23.6 | 23.9
| | S/N(c) | 12.4 | 21.8 | 23.1
| | SN(E/C) | 0.88
|
|
|
|
|
|
|
| 2590028
| 47
| | Red | Green | Blue
| | z | | 18.96
| | znorm | | 14.78
| | sky | 14.6 | 14.6 | 14.1
| | S/N | 13.5 | 23.1 | 23.2
| | S/N(c) | 11.9 | 21.5 | 22.2
| | SN(E/C) | 0.90
|
|
|
|
|
|
|
| 2590029
| 47
| | Red | Green | Blue
| | z | | 18.98
| | znorm | | 14.80
| | sky | 14.7 | 14.5 | 14.1
| | S/N | 13.7 | 23.0 | 23.4
| | S/N(c) | 12.2 | 21.3 | 22.8
| | SN(E/C) | 0.89
|
|
|
|
|
|
|
| 2590030
| 47
| | Red | Green | Blue
| | z | | 18.88
| | znorm | | 14.70
| | sky | 14.4 | 14.6 | 14.2
| | S/N | 12.7 | 21.8 | 22.4
| | S/N(c) | 11.3 | 20.3 | 21.7
| | SN(E/C) | 0.90
|
|
|
|
|
|
|
| 2590031
| 47
| | Red | Green | Blue
| | z | | 18.65
| | znorm | | 14.47
| | sky | 14.7 | 14.7 | 14.3
| | S/N | 11.5 | 20.1 | 19.9
| | S/N(c) | 10.1 | 18.6 | 19.5
| | SN(E/C) | 0.96
|
|
|
|
|
|
|
| 2590032
| 47
| | Red | Green | Blue
| | z | | 18.74
| | znorm | | 14.56
| | sky | 14.6 | 14.6 | 14.3
| | S/N | 12.3 | 21.5 | 21.3
| | S/N(c) | 10.8 | 19.9 | 20.6
| | SN(E/C) | 0.91
|
|
|
|
|
|
|
| 2590033
| 47
| | Red | Green | Blue
| | z | | 18.54
| | znorm | | 14.36
| | sky | 14.8 | 14.7 | 14.3
| | S/N | 10.3 | 18.9 | 18.5
| | S/N(c) | 8.7 | 17.5 | 18.4
| | SN(E/C) | 0.94
|
|
|
|
|
|
|