PLATE: 5218 MJD: 55824 FIELD: N7789

FrameCartsec zseeingNreadsDitherPixshiftZerosky continuumS/NS/N(c)
2620025 8 1.11 2.36 47 0.00 -0.00 18.67 [14.87,14.39,14.11] [ 12.3, 21.4, 22.1] [ 10.7, 20.0, 21.6]
2620026 8 1.11 2.01 47 0.37 0.00 18.68 [14.75,14.44,14.43] [ 11.7, 20.7, 22.2] [ 10.4, 19.6, 21.5]
2620027 8 1.10 2.26 47 0.37 -0.00 18.52 [14.77,14.69,14.58] [ 10.6, 18.9, 20.2] [ 9.3, 17.8, 19.2]
2620028 8 1.10 2.32 47 0.01 -0.00 18.30 [14.65,14.66,14.71] [ 8.8, 16.4, 17.4] [ 7.7, 15.4, 16.9]
2620029 8 1.10 2.83 47 0.01 0.00 18.43 [14.89,14.77,14.63] [ 9.7, 18.1, 19.0] [ 8.6, 16.8, 18.1]
2620030 8 1.10 2.70 47 0.37 0.00 18.21 [14.69,14.73,14.74] [ 8.2, 15.7, 16.5] [ 7.2, 14.7, 15.8]
2620031 8 1.09 3.02 47 0.37 0.00 18.26 [14.81,14.84,14.79] [ 8.4, 16.4, 16.8] [ 7.4, 15.2, 15.9]
2620032 8 1.09 2.54 47 0.01 0.00 18.28 [15.09,14.83,14.82] [ 8.9, 16.4, 17.2] [ 7.7, 15.3, 16.2]

IPAIRNAMESHIFTNEWSHIFTS/N NAMESHIFTNEWSHIFTS/N
0 02620026 0.374 0.000 249.23 02620025 0.000 0.374 248.40
1 02620027 0.374 0.000 230.14 02620029 0.011 0.364 220.55
2 02620031 0.369 0.005 203.61 02620028 0.010 0.364 207.04
3 02620030 0.368 0.006 197.55 02620032 0.011 0.363 205.17

Visit (multiple exposure and dither combined) spectra

FrameZeropointsMag plots Spatial mag deviation Spatial sky 16325A emission deviations (filled: sky, open: star) Spatial sky continuum emission Spatial sky telluric CO2 absorption deviations (filled: H < 10)
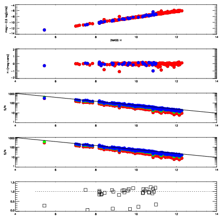
2620025
RedGreenBlue
z18.67
znorm14.49
sky 14.9 14.4 14.1
S/N 12.3 21.4 22.1
S/N(c) 10.7 20.0 21.6
SN(E/C) 0.95
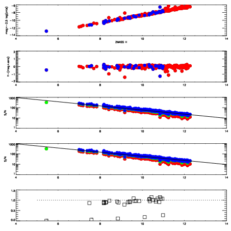
2620026
RedGreenBlue
z18.68
znorm14.50
sky 14.8 14.4 14.4
S/N 11.7 20.7 22.2
S/N(c) 10.4 19.6 21.5
SN(E/C) 0.93
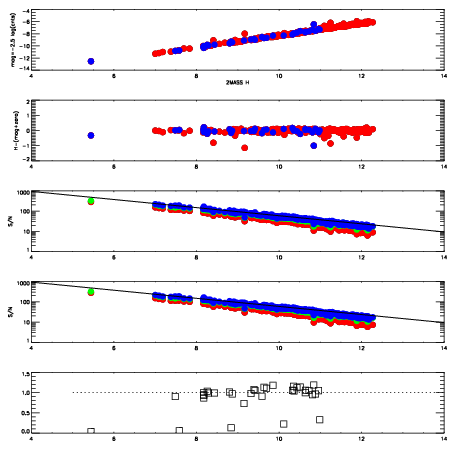
2620027
RedGreenBlue
z18.52
znorm14.34
sky 14.8 14.7 14.6
S/N 10.6 18.9 20.2
S/N(c) 9.3 17.8 19.2
SN(E/C) 0.97
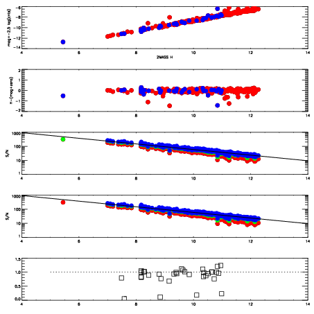
2620028
RedGreenBlue
z18.30
znorm14.12
sky 14.7 14.7 14.7
S/N 8.8 16.4 17.4
S/N(c) 7.7 15.4 16.9
SN(E/C) 1.00
2620029
RedGreenBlue
z18.43
znorm14.25
sky 14.9 14.8 14.6
S/N 9.7 18.1 19.0
S/N(c) 8.6 16.8 18.1
SN(E/C) 0.94
2620030
RedGreenBlue
z18.21
znorm14.03
sky 14.7 14.7 14.7
S/N 8.2 15.7 16.5
S/N(c) 7.2 14.7 15.8
SN(E/C) 0.98
2620031
RedGreenBlue
z18.26
znorm14.08
sky 14.8 14.8 14.8
S/N 8.4 16.4 16.8
S/N(c) 7.4 15.2 15.9
SN(E/C) 0.97
2620032
RedGreenBlue
z18.28
znorm14.10
sky 15.1 14.8 14.8
S/N 8.9 16.4 17.2
S/N(c) 7.7 15.3 16.2
SN(E/C) 1.00