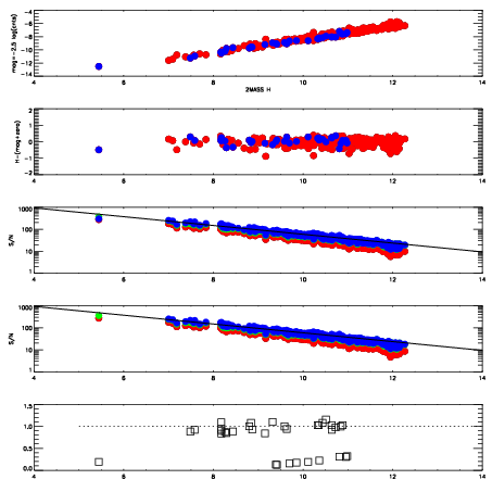
| Frame | Nreads | Zeropoints | Mag plots
| Spatial mag deviation
| Spatial sky 16325A emission deviations (filled: sky, open: star)
| Spatial sky continuum emission
| Spatial sky telluric CO2 absorption deviations (filled: H < 10)
|
| 2810008
| 47
| | Red | Green | Blue
| | z | | 18.65
| | znorm | | 14.47
| | sky | 14.7 | 14.4 | 14.2
| | S/N | 13.1 | 21.4 | 21.6
| | S/N(c) | 11.4 | 20.0 | 20.8
| | SN(E/C) | 0.87
|
|
|
|
|
|
|
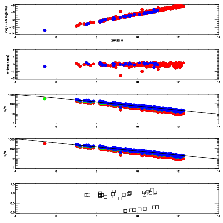
| 2810009
| 47
| | Red | Green | Blue
| | z | | 18.60
| | znorm | | 14.42
| | sky | 14.7 | 14.7 | 14.6
| | S/N | 11.6 | 20.3 | 20.0
| | S/N(c) | 10.5 | 18.8 | 19.3
| | SN(E/C) | 0.94
|
|
|
|
|
|
|
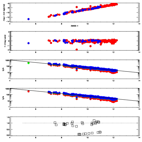
| 2810010
| 47
| | Red | Green | Blue
| | z | | 18.70
| | znorm | | 14.52
| | sky | 14.7 | 14.8 | 14.6
| | S/N | 12.1 | 20.7 | 20.6
| | S/N(c) | 10.7 | 19.2 | 19.8
| | SN(E/C) | 0.91
|
|
|
|
|
|
|
| 2810011
| 47
| | Red | Green | Blue
| | z | | 18.57
| | znorm | | 14.39
| | sky | 14.6 | 14.8 | 14.8
| | S/N | 10.9 | 19.9 | 19.3
| | S/N(c) | 9.7 | 18.6 | 18.5
| | SN(E/C) | 0.91
|
|
|
|
|
|
|
| 2810012
| 47
| | Red | Green | Blue
| | z | | 18.43
| | znorm | | 14.25
| | sky | 14.9 | 15.0 | 14.9
| | S/N | 9.9 | 18.4 | 18.1
| | S/N(c) | 8.7 | 16.9 | 17.1
| | SN(E/C) | 0.92
|
|
|
|
|
|
|
| 2810013
| 47
| | Red | Green | Blue
| | z | | 18.44
| | znorm | | 14.26
| | sky | 14.9 | 15.1 | 15.0
| | S/N | 9.8 | 18.1 | 17.9
| | S/N(c) | 8.7 | 16.9 | 17.0
| | SN(E/C) | 0.95
|
|
|
|
|
|
|
| 2810014
| 47
| | Red | Green | Blue
| | z | | 18.42
| | znorm | | 14.24
| | sky | 15.1 | 15.0 | 14.9
| | S/N | 9.3 | 18.2 | 17.9
| | S/N(c) | 8.2 | 16.8 | 17.0
| | SN(E/C) | 0.88
|
|
|
|
|
|
|
| 2810015
| 47
| | Red | Green | Blue
| | z | | 18.40
| | znorm | | 14.22
| | sky | 14.7 | 15.0 | 14.7
| | S/N | 9.2 | 17.7 | 17.2
| | S/N(c) | 8.1 | 16.3 | 16.6
| | SN(E/C) | 0.91
|
|
|
|
|
|
|