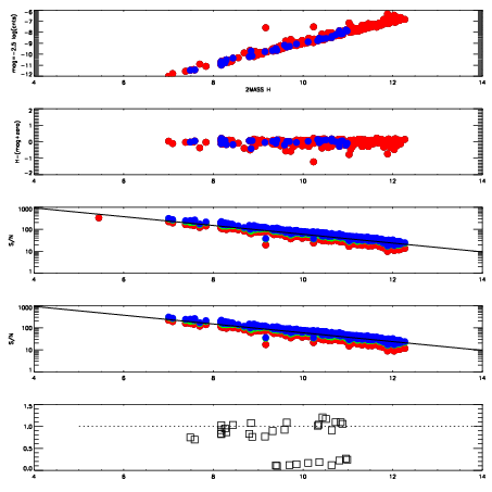
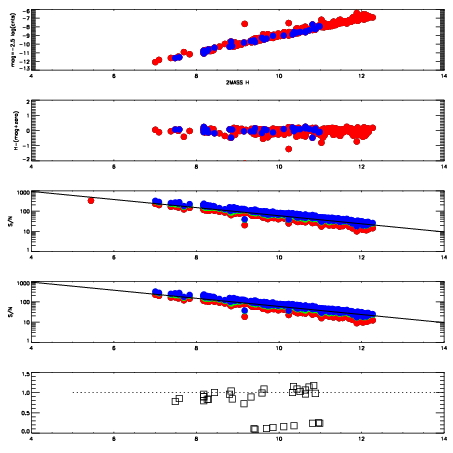
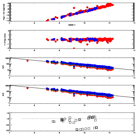
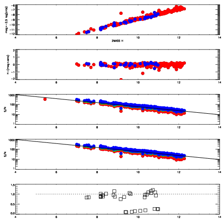
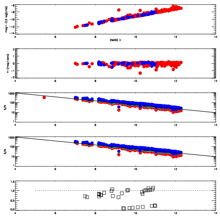
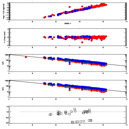
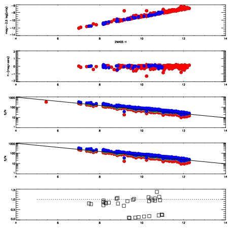
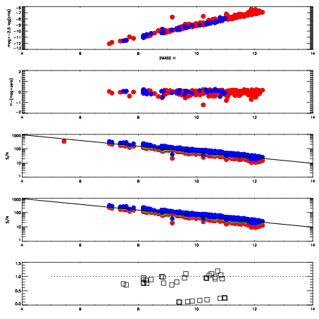
| Frame | Nreads | Zeropoints | Mag plots
| Spatial mag deviation
| Spatial sky 16325A emission deviations (filled: sky, open: star)
| Spatial sky continuum emission
| Spatial sky telluric CO2 absorption deviations (filled: H < 10)
|
| 2820035
| 47
| | Red | Green | Blue
| | z | | 18.80
| | znorm | | 14.62
| | sky | 14.8 | 14.2 | 14.2
| | S/N | 13.1 | 21.5 | 24.7
| | S/N(c) | 11.7 | 20.4 | 23.8
| | SN(E/C) | 0.88
|
|
|
|
|
|
|
| 2820036
| 47
| | Red | Green | Blue
| | z | | 18.96
| | znorm | | 14.78
| | sky | 14.6 | 14.2 | 14.2
| | S/N | 14.4 | 23.7 | 26.0
| | S/N(c) | 12.9 | 22.5 | 25.3
| | SN(E/C) | 0.86
|
|
|
|
|
|
|
| 2820037
| 47
| | Red | Green | Blue
| | z | | 19.05
| | znorm | | 14.87
| | sky | 14.6 | 14.2 | 14.2
| | S/N | 15.1 | 25.1 | 26.9
| | S/N(c) | 13.6 | 23.7 | 25.9
| | SN(E/C) | 0.86
|
|
|
|
|
|
|
| 2820038
| 47
| | Red | Green | Blue
| | z | | 19.14
| | znorm | | 14.96
| | sky | 14.7 | 14.3 | 14.2
| | S/N | 15.7 | 25.8 | 27.6
| | S/N(c) | 14.1 | 24.4 | 26.6
| | SN(E/C) | 0.82
|
|
|
|
|
|
|
| 2820039
| 47
| | Red | Green | Blue
| | z | | 19.03
| | znorm | | 14.85
| | sky | 14.6 | 14.4 | 14.1
| | S/N | 14.5 | 24.7 | 26.1
| | S/N(c) | 13.0 | 23.3 | 25.4
| | SN(E/C) | 0.86
|
|
|
|
|
|
|
| 2820040
| 47
| | Red | Green | Blue
| | z | | 19.02
| | znorm | | 14.84
| | sky | 14.5 | 14.4 | 14.2
| | S/N | 14.2 | 24.2 | 25.6
| | S/N(c) | 12.8 | 22.7 | 25.0
| | SN(E/C) | 0.89
|
|
|
|
|
|
|
| 2820041
| 47
| | Red | Green | Blue
| | z | | 18.98
| | znorm | | 14.80
| | sky | 14.5 | 14.5 | 14.2
| | S/N | 13.7 | 23.3 | 24.5
| | S/N(c) | 12.3 | 22.0 | 23.8
| | SN(E/C) | 0.85
|
|
|
|
|
|
|
| 2820042
| 47
| | Red | Green | Blue
| | z | | 18.91
| | znorm | | 14.73
| | sky | 14.6 | 14.5 | 14.3
| | S/N | 13.2 | 22.5 | 23.2
| | S/N(c) | 12.0 | 21.1 | 22.5
| | SN(E/C) | 0.88
|
|
|
|
|
|
|