PLATE: 5219 MJD: 55811 FIELD: M54SGRC1

FrameCartsec zseeingNreadsDitherPixshiftZerosky continuumS/NS/N(c)
2490031 9 2.29 2.36 47 0.00 0.00 18.64 [13.74,13.44,12.86] [ 12.8, 19.7, 18.3] [ 11.2, 17.9, 19.7]
2490032 9 2.31 2.39 47 0.25 0.00 18.67 [13.59,13.47,13.00] [ 12.9, 20.1, 19.3] [ 11.3, 18.3, 20.1]
2490033 9 2.35 2.55 47 0.26 -0.00 18.45 [13.74,13.55,13.08] [ 11.2, 18.0, 16.9] [ 9.7, 16.1, 17.6]
2490034 9 2.39 2.45 47 -0.13 0.00 18.39 [13.72,13.56,13.12] [ 10.7, 17.0, 16.4] [ 9.1, 15.4, 17.1]
2490035 9 2.43 2.44 47 -0.14 0.00 18.43 [13.71,13.54,13.12] [ 11.0, 17.8, 17.3] [ 9.6, 15.9, 17.7]
2490036 9 2.49 2.50 47 0.26 0.00 18.34 [13.61,13.51,13.12] [ 10.5, 17.1, 15.9] [ 9.1, 15.2, 16.4]
2490037 9 2.55 2.52 47 0.26 0.00 18.19 [13.65,13.42,13.07] [ 9.6, 15.3, 14.5] [ 8.2, 13.9, 14.8]
2490038 9 2.62 2.40 47 -0.16 -0.00 17.91 [13.59,13.41,13.08] [ 7.6, 12.9, 11.5] [ 6.5, 11.5, 12.2]
2490039 9 2.73 2.40 47 -0.14 0.00 17.64 [13.53,13.39,13.04] [ 6.3, 10.7, 8.6] [ 5.3, 9.4, 10.1]
2490040 9 2.83 2.45 47 0.26 0.00 17.37 [13.59,13.38,13.05] [ 5.2, 9.3, 7.2] [ 4.4, 8.1, 8.7]
2490041 9 2.94 2.33 47 0.25 -0.00 17.05 [13.50,13.30,13.03] [ 4.0, 7.3, 6.0] [ 3.5, 6.4, 7.5]
2490042 9 3.08 2.27 47 -0.15 0.00 17.59 [13.13,13.02,12.59] [ 2.6, 4.9, 1.6] [ 1.3, 2.6, 4.9]

IPAIRNAMESHIFTNEWSHIFTS/N NAMESHIFTNEWSHIFTS/N
0 02490037 0.259 0.000 183.14 02490038 -0.160 0.419 155.54
1 02490032 0.252 0.008 235.90 02490031 0.000 0.259 228.69
2 02490033 0.255 0.004 212.49 02490035 -0.139 0.398 210.86
3 02490036 0.255 0.004 199.91 02490034 -0.135 0.394 205.60
4 02490040 0.259 0.000 124.70 02490039 -0.139 0.399 150.20
5 02490041 0.254 0.005 115.63 02490042 -0.152 0.411 94.12

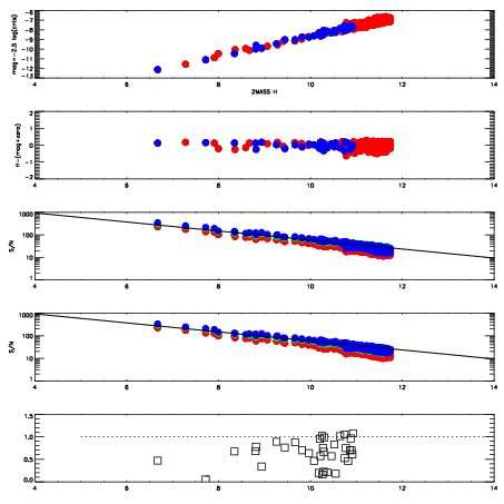
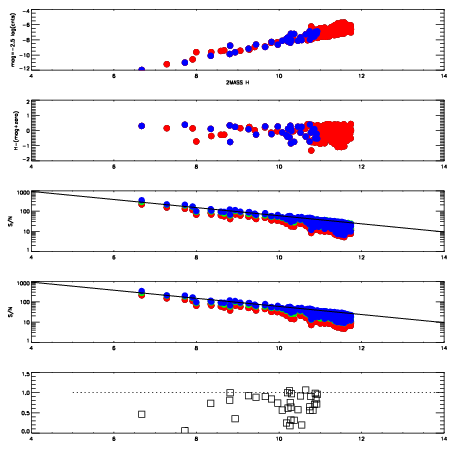
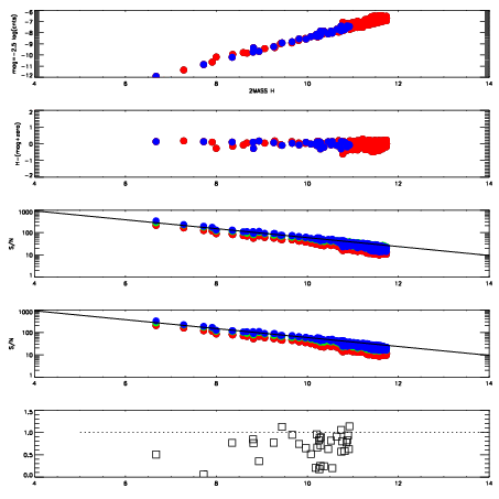
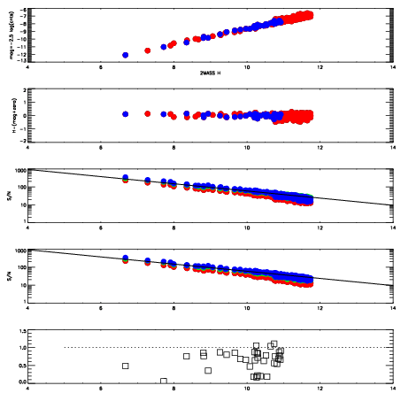
Visit (multiple exposure and dither combined) spectra

FrameZeropointsMag plots Spatial mag deviation Spatial sky 16325A emission deviations (filled: sky, open: star) Spatial sky continuum emission Spatial sky telluric CO2 absorption deviations (filled: H < 10)
2490031
RedGreenBlue
z18.64
znorm14.46
sky 13.7 13.4 12.9
S/N 12.8 19.7 18.3
S/N(c) 11.2 17.9 19.7
SN(E/C) 0.72
2490032
RedGreenBlue
z18.67
znorm14.49
sky 13.6 13.5 13.0
S/N 12.9 20.1 19.3
S/N(c) 11.3 18.3 20.1
SN(E/C) 0.68
2490033
RedGreenBlue
z18.45
znorm14.27
sky 13.7 13.5 13.1
S/N 11.2 18.0 16.9
S/N(c) 9.7 16.1 17.6
SN(E/C) 0.76
2490034
RedGreenBlue
z18.39
znorm14.21
sky 13.7 13.6 13.1
S/N 10.7 17.0 16.4
S/N(c) 9.1 15.4 17.1
SN(E/C) 0.75
2490035
RedGreenBlue
z18.43
znorm14.25
sky 13.7 13.5 13.1
S/N 11.0 17.8 17.3
S/N(c) 9.6 15.9 17.7
SN(E/C) 0.75
2490036
RedGreenBlue
z18.34
znorm14.16
sky 13.6 13.5 13.1
S/N 10.5 17.1 15.9
S/N(c) 9.1 15.2 16.4
SN(E/C) 0.73
2490037
RedGreenBlue
z18.19
znorm14.01
sky 13.6 13.4 13.1
S/N 9.6 15.3 14.5
S/N(c) 8.2 13.9 14.8
SN(E/C) 0.78
2490038
RedGreenBlue
z17.91
znorm13.72
sky 13.6 13.4 13.1
S/N 7.6 12.9 11.5
S/N(c) 6.5 11.5 12.2
SN(E/C) 0.79
2490039
RedGreenBlue
z17.64
znorm13.46
sky 13.5 13.4 13.0
S/N 6.3 10.7 8.6
S/N(c) 5.3 9.4 10.1
SN(E/C) 0.78
2490040
RedGreenBlue
z17.37
znorm13.19
sky 13.6 13.4 13.1
S/N 5.2 9.3 7.2
S/N(c) 4.4 8.1 8.7
SN(E/C) 0.81
2490041
RedGreenBlue
z17.05
znorm12.87
sky 13.5 13.3 13.0
S/N 4.0 7.3 6.0
S/N(c) 3.5 6.4 7.5
SN(E/C) 0.90
2490042
RedGreenBlue
z17.59
znorm13.41
sky 13.1 13.0 12.6
S/N 2.6 4.9 1.6
S/N(c) 1.3 2.6 4.9
SN(E/C) 0.91