PLATE: 5220 MJD: 55816 FIELD: M54SGRC1

FrameCartsec zseeingNreadsDitherPixshiftZerosky continuumS/NS/N(c)
2540011 9 2.28 2.32 47 0.00 0.00 18.56 [13.95,13.58,13.54] [ 11.4, 19.7, 20.5] [ 9.9, 17.7, 19.0]
2540012 9 2.26 2.39 47 0.39 0.00 18.24 [14.16,13.90,13.94] [ 9.1, 15.8, 17.9] [ 7.7, 14.1, 16.3]
2540013 9 2.25 2.51 47 0.39 -0.00 18.21 [14.10,13.88,13.85] [ 8.6, 15.1, 17.5] [ 7.1, 13.5, 15.9]
2540014 9 2.23 2.15 47 0.00 -0.00 18.07 [13.71,13.46,13.47] [ 7.5, 13.1, 15.0] [ 6.4, 11.8, 12.9]
2540015 9 2.23 1.89 47 -0.00 0.00 17.79 [12.98,12.86,12.86] [ 5.6, 9.8, 11.8] [ 5.3, 8.7, 11.7]
2540016 9 2.23 2.39 47 0.39 0.00 17.67 [12.83,12.74,12.76] [ 4.8, 8.3, 9.7] [ 4.3, 7.4, 8.9]
2540017 9 2.23 2.49 47 0.39 -0.00 18.45 [14.19,14.00,14.00] [ 10.1, 16.9, 19.2] [ 8.6, 15.1, 17.3]
2540018 9 2.24 2.21 47 0.00 0.00 18.12 [14.27,14.03,14.12] [ 8.2, 14.5, 16.2] [ 7.0, 12.9, 14.6]

IPAIRNAMESHIFTNEWSHIFTS/N NAMESHIFTNEWSHIFTS/N
0 02540016 0.393 0.000 148.92 02540015 -0.001 0.394 171.74
1 02540017 0.387 0.006 198.73 02540011 0.000 0.393 220.28
2 02540012 0.388 0.005 194.03 02540018 0.002 0.391 183.81
3 02540013 0.391 0.002 187.16 02540014 0.001 0.392 173.62

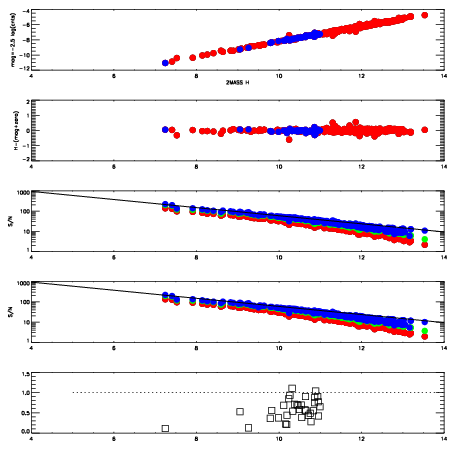
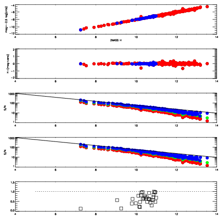
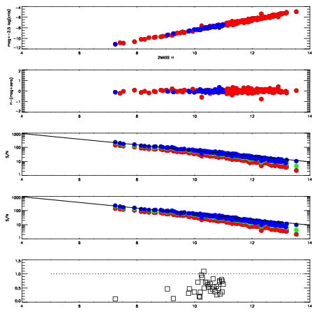
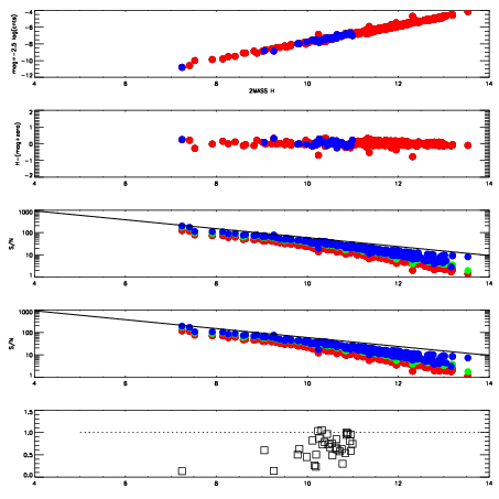
Visit (multiple exposure and dither combined) spectra

FrameZeropointsMag plots Spatial mag deviation Spatial sky 16325A emission deviations (filled: sky, open: star) Spatial sky continuum emission Spatial sky telluric CO2 absorption deviations (filled: H < 10)
2540011
RedGreenBlue
z18.56
znorm14.38
sky 14.0 13.6 13.5
S/N 11.4 19.7 20.5
S/N(c) 9.9 17.7 19.0
SN(E/C) 0.52
2540012
RedGreenBlue
z18.24
znorm14.06
sky 14.2 13.9 13.9
S/N 9.1 15.8 17.9
S/N(c) 7.7 14.1 16.3
SN(E/C) 0.57
2540013
RedGreenBlue
z18.21
znorm14.03
sky 14.1 13.9 13.9
S/N 8.6 15.1 17.5
S/N(c) 7.1 13.5 15.9
SN(E/C) 0.62
2540014
RedGreenBlue
z18.07
znorm13.89
sky 13.7 13.5 13.5
S/N 7.5 13.1 15.0
S/N(c) 6.4 11.8 12.9
SN(E/C) 0.63
2540015
RedGreenBlue
z17.79
znorm13.61
sky 13.0 12.9 12.9
S/N 5.6 9.8 11.8
S/N(c) 5.3 8.7 11.7
SN(E/C) 0.67
2540016
RedGreenBlue
z17.67
znorm13.49
sky 12.8 12.7 12.8
S/N 4.8 8.3 9.7
S/N(c) 4.3 7.4 8.9
SN(E/C) 0.76
2540017
RedGreenBlue
z18.45
znorm14.27
sky 14.2 14.0 14.0
S/N 10.1 16.9 19.2
S/N(c) 8.6 15.1 17.3
SN(E/C) 0.53
2540018
RedGreenBlue
z18.12
znorm13.94
sky 14.3 14.0 14.1
S/N 8.2 14.5 16.2
S/N(c) 7.0 12.9 14.6
SN(E/C) 0.62