PLATE: 5220 MJD: 56173 FIELD: M54SGRC1

FrameCartsec zseeingNreadsDitherPixshiftZerosky continuumS/NS/N(c)
6110010 8 2.39 2.22 47 0.00 0.00 19.05 [14.07,13.98,14.00] [ 16.3, 26.1, 26.7] [ 14.6, 24.0, 24.5]
6110011 8 2.35 1.60 47 0.45 -0.00 19.00 [14.18,14.19,14.37] [ 14.8, 24.6, 25.5] [ 13.4, 22.7, 23.3]
6110012 8 2.31 1.66 47 0.45 -0.00 19.01 [14.37,14.24,14.41] [ 15.1, 24.8, 25.5] [ 13.6, 22.8, 23.3]
6110013 8 2.29 1.68 47 0.01 0.00 19.04 [14.18,14.17,14.39] [ 15.7, 25.7, 26.2] [ 14.1, 23.5, 23.9]
6110014 8 2.26 1.77 47 0.01 0.00 19.03 [14.30,14.23,14.49] [ 15.0, 24.5, 25.5] [ 13.4, 22.7, 23.5]
6110015 8 2.25 1.68 47 0.45 0.00 19.08 [14.20,14.25,14.51] [ 15.9, 26.1, 26.9] [ 14.3, 24.1, 24.5]
6110016 8 2.24 1.70 47 0.45 0.00 19.12 [14.39,14.21,14.51] [ 16.3, 26.7, 27.3] [ 14.5, 24.7, 25.2]
6110017 8 2.23 1.60 47 0.01 -0.00 19.13 [14.26,14.25,14.51] [ 16.3, 26.6, 27.6] [ 14.4, 24.6, 25.3]

IPAIRNAMESHIFTNEWSHIFTS/N NAMESHIFTNEWSHIFTS/N
0 06110016 0.451 0.000 237.74 06110017 0.011 0.440 236.66
1 06110015 0.451 0.000 230.00 06110014 0.013 0.438 231.41
2 06110012 0.451 0.000 229.15 06110013 0.011 0.440 230.13
3 06110011 0.451 0.000 224.80 06110010 0.000 0.451 228.88

Visit (multiple exposure and dither combined) spectra

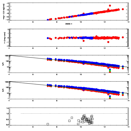
FrameZeropointsMag plots Spatial mag deviation Spatial sky 16325A emission deviations (filled: sky, open: star) Spatial sky continuum emission Spatial sky telluric CO2 absorption deviations (filled: H < 10)
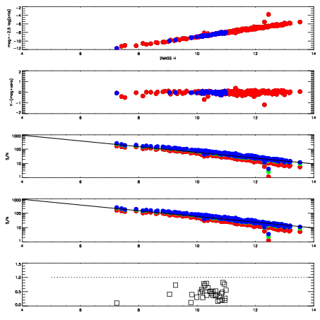
6110010
RedGreenBlue
z19.05
znorm14.87
sky 14.1 14.0 14.0
S/N 16.3 26.1 26.7
S/N(c) 14.6 24.0 24.5
SN(E/C) 0.43
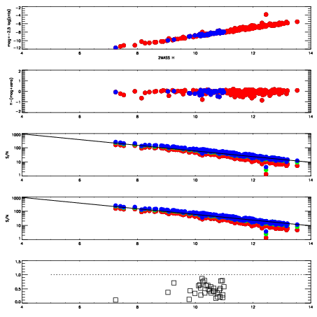
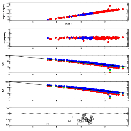
6110011
RedGreenBlue
z19.00
znorm14.82
sky 14.2 14.2 14.4
S/N 14.8 24.6 25.5
S/N(c) 13.4 22.7 23.3
SN(E/C) 0.45
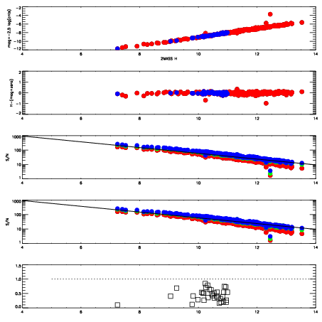
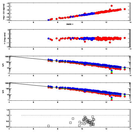
6110012
RedGreenBlue
z19.01
znorm14.83
sky 14.4 14.2 14.4
S/N 15.1 24.8 25.5
S/N(c) 13.6 22.8 23.3
SN(E/C) 0.48
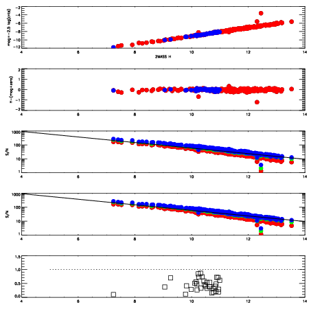
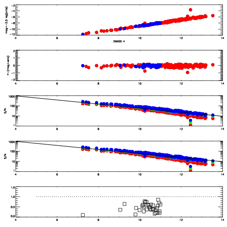
6110013
RedGreenBlue
z19.04
znorm14.86
sky 14.2 14.2 14.4
S/N 15.7 25.7 26.2
S/N(c) 14.1 23.5 23.9
SN(E/C) 0.44
6110014
RedGreenBlue
z19.03
znorm14.85
sky 14.3 14.2 14.5
S/N 15.0 24.5 25.5
S/N(c) 13.4 22.7 23.5
SN(E/C) 0.45
6110015
RedGreenBlue
z19.08
znorm14.90
sky 14.2 14.3 14.5
S/N 15.9 26.1 26.9
S/N(c) 14.3 24.1 24.5
SN(E/C) 0.42
6110016
RedGreenBlue
z19.12
znorm14.94
sky 14.4 14.2 14.5
S/N 16.3 26.7 27.3
S/N(c) 14.5 24.7 25.2
SN(E/C) 0.41
6110017
RedGreenBlue
z19.13
znorm14.95
sky 14.3 14.3 14.5
S/N 16.3 26.6 27.6
S/N(c) 14.4 24.6 25.3
SN(E/C) 0.43