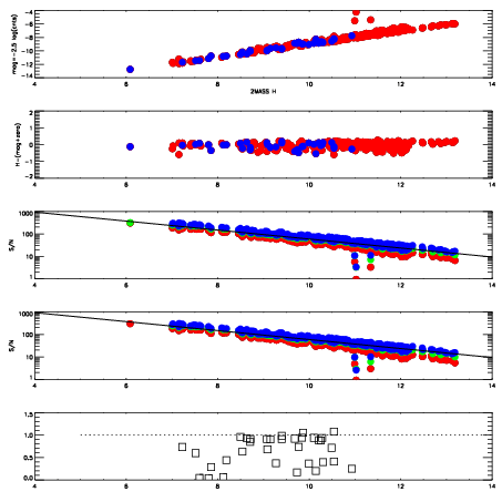
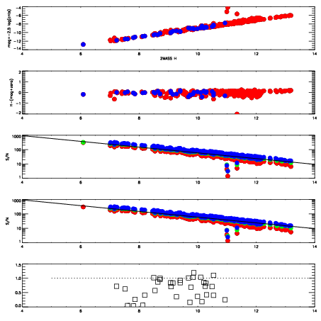
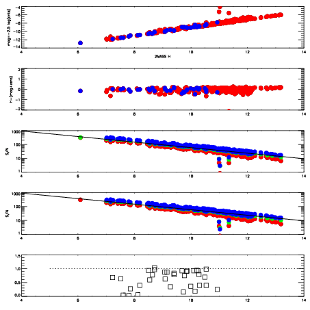
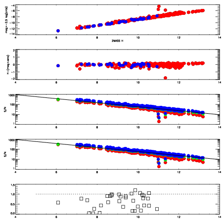
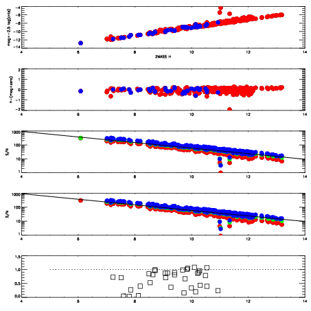
| Frame | Nreads | Zeropoints | Mag plots
| Spatial mag deviation
| Spatial sky 16325A emission deviations (filled: sky, open: star)
| Spatial sky continuum emission
| Spatial sky telluric CO2 absorption deviations (filled: H < 10)
|
| 3040034
| 47
| | Red | Green | Blue
| | z | | 18.91
| | znorm | | 14.73
| | sky | 14.7 | 14.3 | 14.6
| | S/N | 13.5 | 21.7 | 24.1
| | S/N(c) | 11.8 | 20.5 | 23.0
| | SN(E/C) | 0.74
|
|
|
|
|
|
|
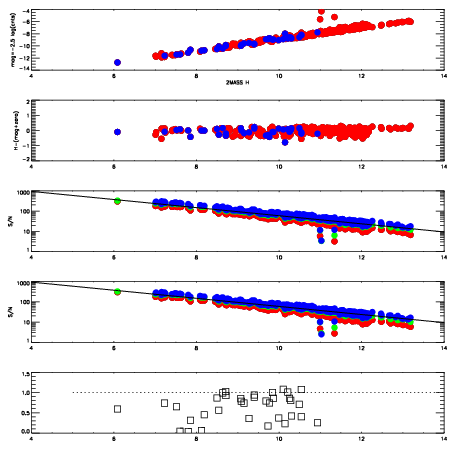
| 3040035
| 47
| | Red | Green | Blue
| | z | | 18.95
| | znorm | | 14.77
| | sky | 14.5 | 14.4 | 14.5
| | S/N | 13.6 | 22.9 | 25.3
| | S/N(c) | 12.0 | 21.0 | 23.8
| | SN(E/C) | 0.74
|
|
|
|
|
|
|
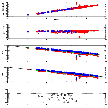
| 3040036
| 47
| | Red | Green | Blue
| | z | | 19.01
| | znorm | | 14.83
| | sky | 14.8 | 14.4 | 14.5
| | S/N | 14.6 | 23.2 | 25.4
| | S/N(c) | 12.6 | 21.6 | 24.2
| | SN(E/C) | 0.78
|
|
|
|
|
|
|
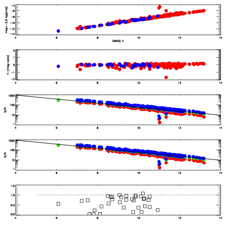
| 3040037
| 47
| | Red | Green | Blue
| | z | | 19.03
| | znorm | | 14.85
| | sky | 14.6 | 14.4 | 14.5
| | S/N | 14.8 | 24.0 | 26.7
| | S/N(c) | 12.9 | 21.9 | 25.1
| | SN(E/C) | 0.75
|
|
|
|
|
|
|
| 3040038
| 47
| | Red | Green | Blue
| | z | | 19.03
| | znorm | | 14.85
| | sky | 14.7 | 14.7 | 14.6
| | S/N | 15.0 | 24.8 | 26.9
| | S/N(c) | 13.0 | 22.5 | 25.1
| | SN(E/C) | 0.72
|
|
|
|
|
|
|
| 3040039
| 47
| | Red | Green | Blue
| | z | | 18.93
| | znorm | | 14.75
| | sky | 14.6 | 14.5 | 14.6
| | S/N | 13.8 | 23.1 | 25.2
| | S/N(c) | 12.1 | 20.8 | 23.5
| | SN(E/C) | 0.69
|
|
|
|
|
|
|
| 3040040
| 47
| | Red | Green | Blue
| | z | | 19.03
| | znorm | | 14.85
| | sky | 14.5 | 14.6 | 14.5
| | S/N | 15.2 | 24.8 | 26.8
| | S/N(c) | 13.1 | 22.9 | 25.4
| | SN(E/C) | 0.79
|
|
|
|
|
|
|
| 3040041
| 47
| | Red | Green | Blue
| | z | | 19.02
| | znorm | | 14.84
| | sky | 14.5 | 14.5 | 14.5
| | S/N | 15.1 | 24.7 | 26.6
| | S/N(c) | 13.3 | 22.6 | 25.5
| | SN(E/C) | 0.74
|
|
|
|
|
|
|