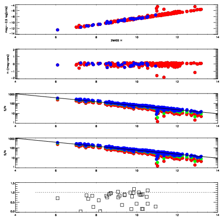
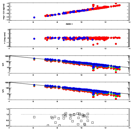
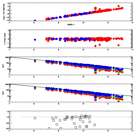
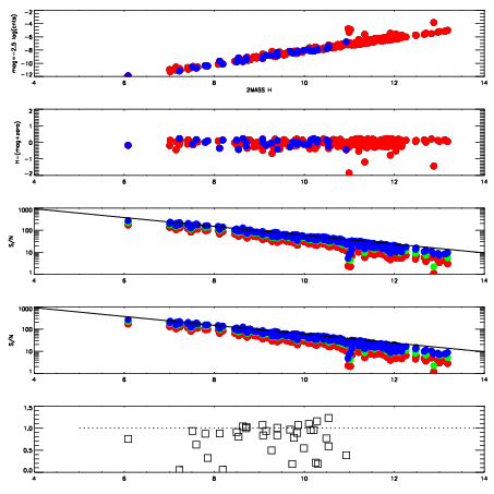
| Frame | Nreads | Zeropoints | Mag plots
| Spatial mag deviation
| Spatial sky 16325A emission deviations (filled: sky, open: star)
| Spatial sky continuum emission
| Spatial sky telluric CO2 absorption deviations (filled: H < 10)
|
| 3140034
| 47
| | Red | Green | Blue
| | z | | 18.69
| | znorm | | 14.51
| | sky | 14.4 | 14.3 | 14.4
| | S/N | 12.1 | 20.1 | 22.2
| | S/N(c) | 10.6 | 18.6 | 20.8
| | SN(E/C) | 0.83
|
|
|
|
|
|
|
| 3140035
| 47
| | Red | Green | Blue
| | z | | 18.62
| | znorm | | 14.44
| | sky | 14.6 | 14.4 | 14.6
| | S/N | 11.6 | 19.4 | 21.1
| | S/N(c) | 10.0 | 17.9 | 19.8
| | SN(E/C) | 0.84
|
|
|
|
|
|
|
| 3140036
| 47
| | Red | Green | Blue
| | z | | 18.65
| | znorm | | 14.47
| | sky | 14.6 | 14.5 | 14.6
| | S/N | 12.0 | 20.1 | 21.7
| | S/N(c) | 10.6 | 18.5 | 20.5
| | SN(E/C) | 0.78
|
|
|
|
|
|
|
| 3140037
| 47
| | Red | Green | Blue
| | z | | 18.57
| | znorm | | 14.38
| | sky | 14.7 | 14.5 | 14.5
| | S/N | 11.2 | 19.1 | 20.5
| | S/N(c) | 9.8 | 17.5 | 19.3
| | SN(E/C) | 0.83
|
|
|
|
|
|
|
| 3140038
| 47
| | Red | Green | Blue
| | z | | 18.65
| | znorm | | 14.47
| | sky | 14.8 | 14.6 | 14.5
| | S/N | 11.9 | 20.4 | 21.9
| | S/N(c) | 10.4 | 19.1 | 20.5
| | SN(E/C) | 0.81
|
|
|
|
|
|
|
| 3140039
| 47
| | Red | Green | Blue
| | z | | 18.55
| | znorm | | 14.37
| | sky | 14.5 | 14.5 | 14.5
| | S/N | 11.0 | 19.0 | 20.5
| | S/N(c) | 9.8 | 17.6 | 19.3
| | SN(E/C) | 0.77
|
|
|
|
|
|
|
| 3140040
| 47
| | Red | Green | Blue
| | z | | 18.11
| | znorm | | 13.93
| | sky | 14.0 | 13.9 | 14.0
| | S/N | 7.7 | 13.9 | 15.4
| | S/N(c) | 6.7 | 12.9 | 14.4
| | SN(E/C) | 0.90
|
|
|
|
|
|
|
| 3140041
| 47
| | Red | Green | Blue
| | z | | 17.93
| | znorm | | 13.75
| | sky | 13.9 | 13.9 | 14.0
| | S/N | 6.7 | 12.2 | 13.7
| | S/N(c) | 5.8 | 11.2 | 12.5
| | SN(E/C) | 0.89
|
|
|
|
|
|
|
| 3140042
| 47
| | Red | Green | Blue
| | z | | 18.15
| | znorm | | 13.97
| | sky | 14.0 | 13.8 | 13.9
| | S/N | 8.1 | 14.1 | 15.6
| | S/N(c) | 7.0 | 13.0 | 14.3
| | SN(E/C) | 0.87
|
|
|
|
|
|
|
| 3140043
| 47
| | Red | Green | Blue
| | z | | 18.25
| | znorm | | 14.07
| | sky | 13.8 | 13.8 | 13.8
| | S/N | 8.6 | 14.9 | 16.3
| | S/N(c) | 7.2 | 13.4 | 15.3
| | SN(E/C) | 0.86
|
|
|
|
|
|
|