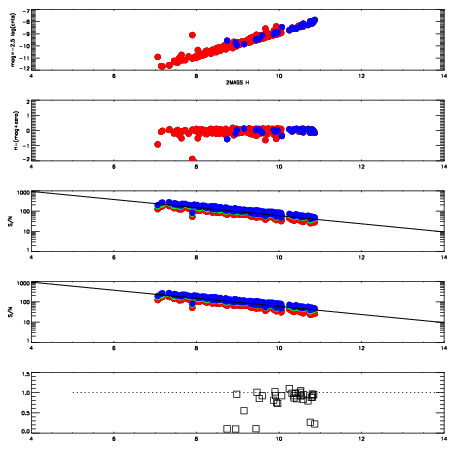
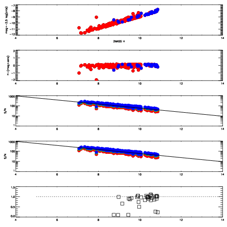
Left plots: red are targets, blue are telluric. Observed mags are calculated from median value of green chip. Zeropoint gives overall throughput: bigger number is more throughput.
First spatial plots: circles are objects, squares are tellurics, crosses are sky fibers. Colors give deviation of observed mag from expected 2MASS mag using the median zeropoint; red is brighter
Second spatial plots: circles are sky fibers. Colors give sky line brightness relative to plate median sky line brightness
FrameNreadsZeropointsMag plots Spatial mag deviation Spatial sky 16325A emission deviations (filled: sky, open: star) Spatial sky continuum emission Spatial sky telluric CO2 absorption deviations (filled: H < 10)
5100010 47
RedGreenBlue
z18.85
znorm14.67
sky 14.5 14.3 14.2
S/N 15.3 23.0 25.7
S/N(c) 14.2 22.2 24.9
SN(E/C) 0.96
5100011 47
RedGreenBlue
z18.88
znorm14.70
sky 14.4 14.4 14.5
S/N 15.6 23.6 26.3
S/N(c) 14.5 22.5 25.4
SN(E/C) 0.92