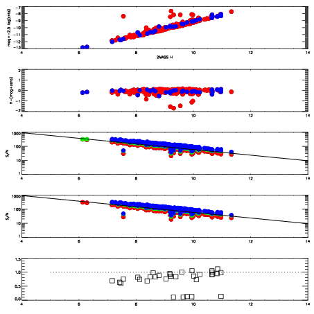
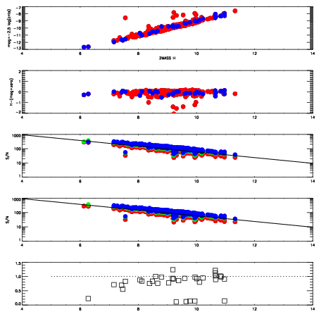
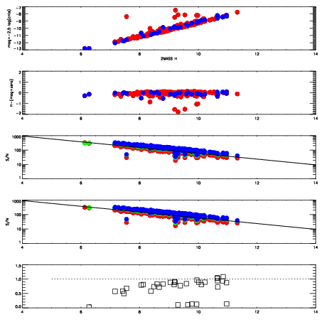
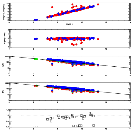
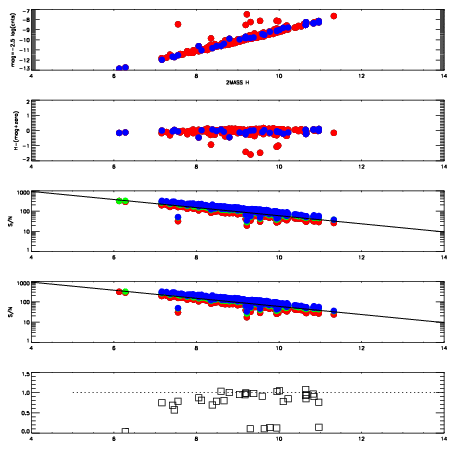
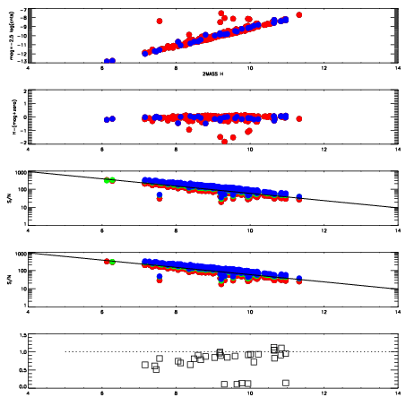
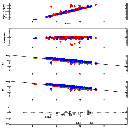
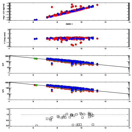
| Frame | Nreads | Zeropoints | Mag plots
| Spatial mag deviation
| Spatial sky 16325A emission deviations (filled: sky, open: star)
| Spatial sky continuum emission
| Spatial sky telluric CO2 absorption deviations (filled: H < 10)
|
| 2820009
| 47
| | Red | Green | Blue
| | z | | 19.09
| | znorm | | 14.91
| | sky | 14.1 | 14.0 | 13.7
| | S/N | 16.9 | 24.1 | 23.9
| | S/N(c) | 15.6 | 22.2 | 23.0
| | SN(E/C) | 0.88
|
|
|
|
|
|
|
| 2820010
| 47
| | Red | Green | Blue
| | z | | 19.13
| | znorm | | 14.95
| | sky | 14.1 | 14.1 | 13.9
| | S/N | 17.3 | 24.9 | 25.2
| | S/N(c) | 16.0 | 22.9 | 24.1
| | SN(E/C) | 0.85
|
|
|
|
|
|
|
| 2820011
| 47
| | Red | Green | Blue
| | z | | 19.18
| | znorm | | 15.00
| | sky | 14.1 | 14.0 | 13.9
| | S/N | 18.0 | 25.5 | 26.1
| | S/N(c) | 16.6 | 23.6 | 25.0
| | SN(E/C) | 0.84
|
|
|
|
|
|
|
| 2820012
| 47
| | Red | Green | Blue
| | z | | 19.20
| | znorm | | 15.02
| | sky | 14.3 | 14.0 | 13.8
| | S/N | 18.7 | 26.3 | 27.1
| | S/N(c) | 17.1 | 24.6 | 26.0
| | SN(E/C) | 0.80
|
|
|
|
|
|
|
| 2820013
| 47
| | Red | Green | Blue
| | z | | 19.17
| | znorm | | 14.99
| | sky | 14.1 | 14.0 | 13.9
| | S/N | 18.0 | 25.7 | 26.8
| | S/N(c) | 16.6 | 24.0 | 25.6
| | SN(E/C) | 0.83
|
|
|
|
|
|
|
| 2820014
| 47
| | Red | Green | Blue
| | z | | 19.18
| | znorm | | 15.00
| | sky | 14.2 | 14.1 | 13.9
| | S/N | 17.8 | 25.7 | 26.9
| | S/N(c) | 16.4 | 23.9 | 25.7
| | SN(E/C) | 0.84
|
|
|
|
|
|
|
| 2820015
| 47
| | Red | Green | Blue
| | z | | 19.18
| | znorm | | 15.00
| | sky | 14.2 | 14.1 | 14.0
| | S/N | 17.8 | 25.5 | 26.9
| | S/N(c) | 16.4 | 23.8 | 25.8
| | SN(E/C) | 0.84
|
|
|
|
|
|
|
| 2820016
| 47
| | Red | Green | Blue
| | z | | 19.09
| | znorm | | 14.91
| | sky | 14.1 | 14.2 | 14.1
| | S/N | 16.4 | 24.1 | 25.5
| | S/N(c) | 15.0 | 22.4 | 24.3
| | SN(E/C) | 0.88
|
|
|
|
|
|
|