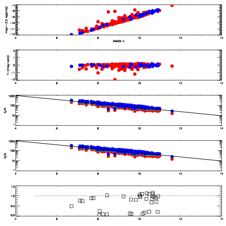
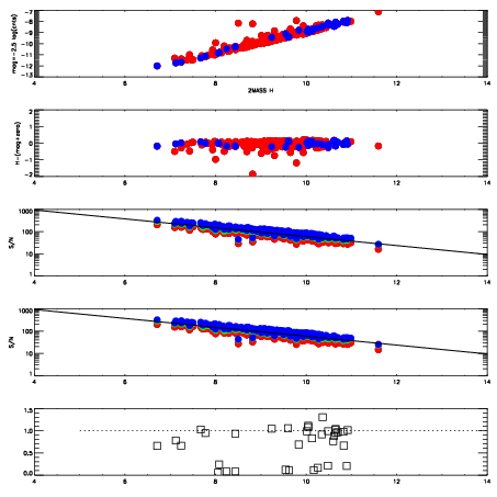
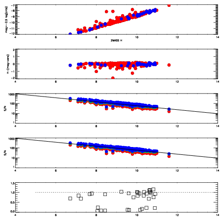
Left plots: red are targets, blue are telluric. Observed mags are calculated from median value of green chip. Zeropoint gives overall throughput: bigger number is more throughput.
First spatial plots: circles are objects, squares are tellurics, crosses are sky fibers. Colors give deviation of observed mag from expected 2MASS mag using the median zeropoint; red is brighter
Second spatial plots: circles are sky fibers. Colors give sky line brightness relative to plate median sky line brightness
FrameNreadsZeropointsMag plots Spatial mag deviation Spatial sky 16325A emission deviations (filled: sky, open: star) Spatial sky continuum emission Spatial sky telluric CO2 absorption deviations (filled: H < 10)
5000010 47
RedGreenBlue
z18.83
znorm14.65
sky 14.8 14.5 14.3
S/N 12.1 19.6 20.3
S/N(c) 10.9 18.1 19.1
SN(E/C) 0.84
5000011 47
RedGreenBlue
z18.85
znorm14.67
sky 14.7 14.5 14.5
S/N 12.0 19.6 20.4
S/N(c) 10.8 18.0 19.3
SN(E/C) 0.84
5000012 47
RedGreenBlue
z18.89
znorm14.71
sky 14.5 14.5 14.6
S/N 12.2 19.7 20.4
S/N(c) 11.0 18.1 19.3
SN(E/C) 0.88
5000013 47
RedGreenBlue
z18.86
znorm14.68
sky 14.5 14.6 14.6
S/N 12.0 19.4 20.3
S/N(c) 10.9 18.0 19.2
SN(E/C) 0.79