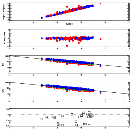
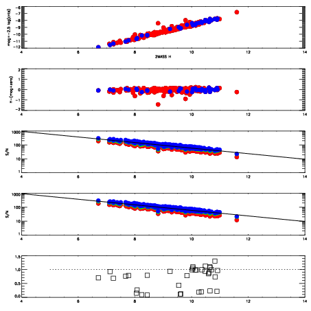
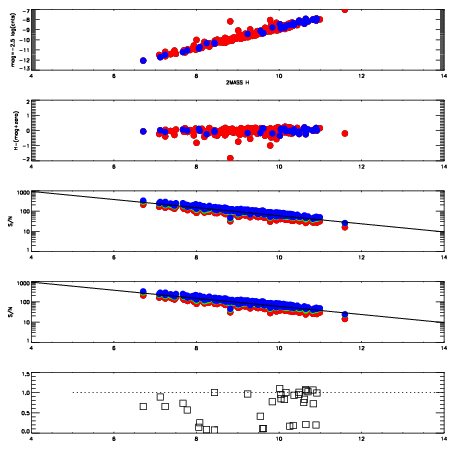
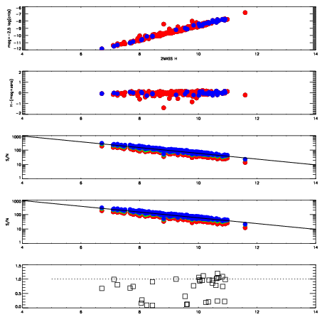
Left plots: red are targets, blue are telluric. Observed mags are calculated from median value of green chip. Zeropoint gives overall throughput: bigger number is more throughput.
First spatial plots: circles are objects, squares are tellurics, crosses are sky fibers. Colors give deviation of observed mag from expected 2MASS mag using the median zeropoint; red is brighter
Second spatial plots: circles are sky fibers. Colors give sky line brightness relative to plate median sky line brightness
FrameNreadsZeropointsMag plots Spatial mag deviation Spatial sky 16325A emission deviations (filled: sky, open: star) Spatial sky continuum emission Spatial sky telluric CO2 absorption deviations (filled: H < 10)
5120010 47
RedGreenBlue
z18.82
znorm14.64
sky 14.7 14.4 14.2
S/N 12.1 19.2 19.5
S/N(c) 10.8 17.5 18.3
SN(E/C) 0.77
5120011 47
RedGreenBlue
z18.65
znorm14.47
sky 14.5 14.5 14.6
S/N 10.3 17.1 17.4
S/N(c) 9.1 15.5 16.4
SN(E/C) 0.79
5120012 47
RedGreenBlue
z18.63
znorm14.45
sky 14.6 14.5 14.6
S/N 10.4 17.1 17.5
S/N(c) 9.2 15.5 16.3
SN(E/C) 0.80
5120013 47
RedGreenBlue
z18.88
znorm14.70
sky 14.4 14.4 14.4
S/N 11.8 18.9 19.3
S/N(c) 10.4 17.2 18.3
SN(E/C) 0.80