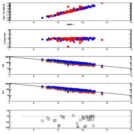
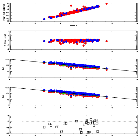
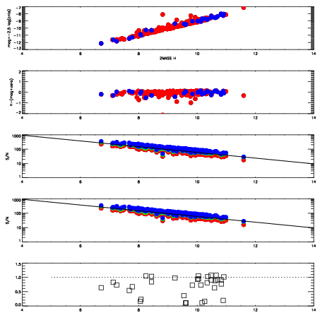
Left plots: red are targets, blue are telluric. Observed mags are calculated from median value of green chip. Zeropoint gives overall throughput: bigger number is more throughput.
First spatial plots: circles are objects, squares are tellurics, crosses are sky fibers. Colors give deviation of observed mag from expected 2MASS mag using the median zeropoint; red is brighter
Second spatial plots: circles are sky fibers. Colors give sky line brightness relative to plate median sky line brightness
FrameNreadsZeropointsMag plots Spatial mag deviation Spatial sky 16325A emission deviations (filled: sky, open: star) Spatial sky continuum emission Spatial sky telluric CO2 absorption deviations (filled: H < 10)
5160038 47
RedGreenBlue
z18.98
znorm14.80
sky 14.5 14.4 14.2
S/N 13.6 21.2 21.9
S/N(c) 12.2 19.4 20.8
SN(E/C) 0.85
5160039 47
RedGreenBlue
z19.04
znorm14.86
sky 14.2 14.5 14.5
S/N 14.2 22.4 23.6
S/N(c) 12.8 20.6 22.4
SN(E/C) 0.83
5160040 47
RedGreenBlue
z19.04
znorm14.86
sky 14.3 14.4 14.4
S/N 13.2 21.0 22.0
S/N(c) 11.9 19.3 20.9
SN(E/C) 0.81
5160041 47
RedGreenBlue
z18.91
znorm14.73
sky 14.2 14.4 14.4
S/N 12.3 20.1 20.7
S/N(c) 11.1 18.2 19.6
SN(E/C) 0.80