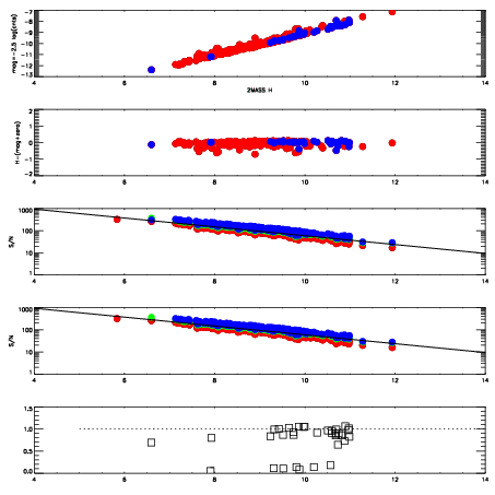
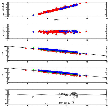
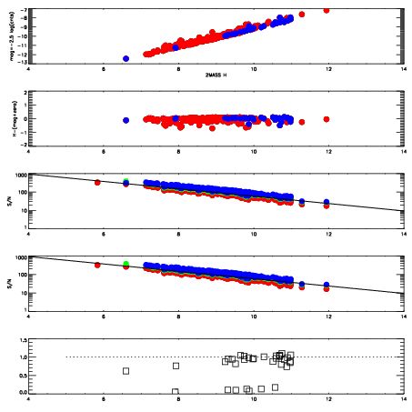
Left plots: red are targets, blue are telluric. Observed mags are calculated from median value of green chip. Zeropoint gives overall throughput: bigger number is more throughput.
First spatial plots: circles are objects, squares are tellurics, crosses are sky fibers. Colors give deviation of observed mag from expected 2MASS mag using the median zeropoint; red is brighter
Second spatial plots: circles are sky fibers. Colors give sky line brightness relative to plate median sky line brightness
FrameNreadsZeropointsMag plots Spatial mag deviation Spatial sky 16325A emission deviations (filled: sky, open: star) Spatial sky continuum emission Spatial sky telluric CO2 absorption deviations (filled: H < 10)
5040010 47
RedGreenBlue
z19.07
znorm14.89
sky 14.1 14.0 13.9
S/N 15.8 24.4 25.6
S/N(c) 14.5 22.9 24.8
SN(E/C) 0.89
5040011 47
RedGreenBlue
z19.06
znorm14.88
sky 14.2 14.1 14.2
S/N 15.1 23.7 25.3
S/N(c) 13.9 22.3 24.3
SN(E/C) 0.93
5040012 47
RedGreenBlue
z19.09
znorm14.91
sky 14.2 14.1 14.2
S/N 15.1 24.2 25.7
S/N(c) 14.0 22.8 24.7
SN(E/C) 0.89
5040013 47
RedGreenBlue
z19.15
znorm14.97
sky 14.1 14.0 14.0
S/N 15.8 24.4 26.0
S/N(c) 14.5 23.2 25.1
SN(E/C) 0.94