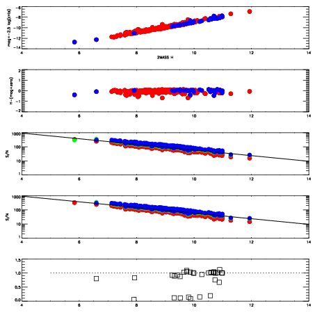
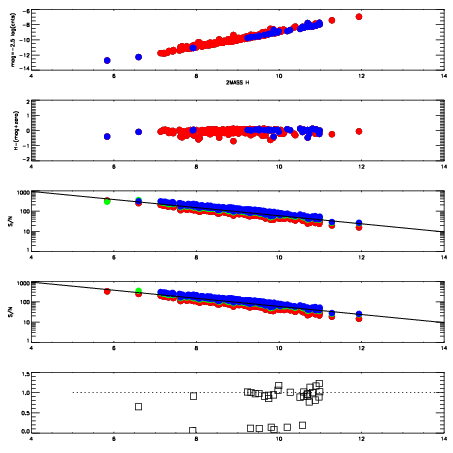
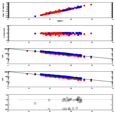
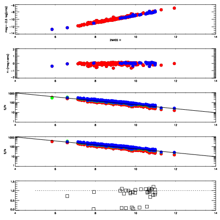
Left plots: red are targets, blue are telluric. Observed mags are calculated from median value of green chip. Zeropoint gives overall throughput: bigger number is more throughput.
First spatial plots: circles are objects, squares are tellurics, crosses are sky fibers. Colors give deviation of observed mag from expected 2MASS mag using the median zeropoint; red is brighter
Second spatial plots: circles are sky fibers. Colors give sky line brightness relative to plate median sky line brightness
FrameNreadsZeropointsMag plots Spatial mag deviation Spatial sky 16325A emission deviations (filled: sky, open: star) Spatial sky continuum emission Spatial sky telluric CO2 absorption deviations (filled: H < 10)
5060014 47
RedGreenBlue
z18.93
znorm14.75
sky 14.3 14.1 14.1
S/N 14.2 22.5 23.5
S/N(c) 13.0 21.3 22.8
SN(E/C) 0.93
5060015 47
RedGreenBlue
z18.94
znorm14.76
sky 14.2 14.3 14.4
S/N 13.9 21.9 23.4
S/N(c) 12.9 20.8 22.5
SN(E/C) 0.99
5060016 47
RedGreenBlue
z18.96
znorm14.78
sky 14.3 14.2 14.4
S/N 13.9 22.2 23.6
S/N(c) 12.9 21.0 22.5
SN(E/C) 0.93
5060017 47
RedGreenBlue
z19.01
znorm14.83
sky 14.2 14.2 14.4
S/N 13.9 22.4 23.8
S/N(c) 12.8 21.1 22.8
SN(E/C) 0.96