PLATE: 5228 MJD: 56411 FIELD: 030+00

FrameCartsec zseeingNreadsDitherPixshiftZerosky continuumS/NS/N(c)
8490059 4 1.24 1.61 47 0.00 0.00 18.84 [14.14,13.98,14.33] [ 14.8, 22.0, 26.0] [ 13.5, 20.6, 24.3]
8490060 4 1.23 1.43 47 0.57 -0.00 18.87 [14.34,14.02,14.24] [ 15.2, 22.4, 26.0] [ 13.9, 20.8, 24.4]
8490061 4 1.23 1.44 47 0.57 -0.00 18.91 [14.16,14.06,14.23] [ 15.4, 23.3, 26.4] [ 14.2, 21.4, 25.0]
8490062 4 1.23 1.27 47 0.08 0.00 18.90 [14.23,14.15,14.31] [ 15.2, 23.0, 26.3] [ 13.8, 21.5, 24.8]
8490063 4 1.23 1.39 47 0.09 -0.00 18.95 [14.14,14.12,14.28] [ 15.8, 23.9, 27.3] [ 14.4, 22.4, 25.7]
8490064 4 1.23 1.30 47 0.56 -0.00 18.89 [14.19,14.11,14.34] [ 15.3, 23.3, 26.4] [ 14.1, 21.8, 25.0]

IPAIRNAMESHIFTNEWSHIFTS/N NAMESHIFTNEWSHIFTS/N
0 08490061 0.575 0.000 273.93 08490063 0.090 0.484 278.56
1 08490060 0.567 0.008 272.67 08490062 0.083 0.492 272.21
2 08490064 0.559 0.015 269.42 08490059 0.000 0.575 268.67

Visit (multiple exposure and dither combined) spectra

FrameZeropointsMag plots Spatial mag deviation Spatial sky 16325A emission deviations (filled: sky, open: star) Spatial sky continuum emission Spatial sky telluric CO2 absorption deviations (filled: H < 10)
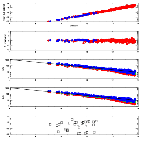
8490059
RedGreenBlue
z18.84
znorm14.66
sky 14.1 14.0 14.3
S/N 14.8 22.0 26.0
S/N(c) 13.5 20.6 24.3
SN(E/C) 0.84
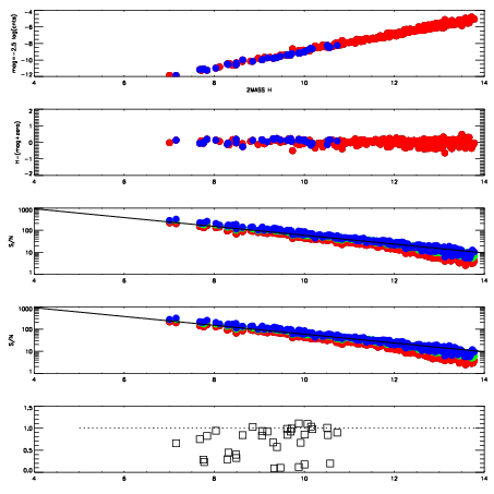
8490060
RedGreenBlue
z18.87
znorm14.69
sky 14.3 14.0 14.2
S/N 15.2 22.4 26.0
S/N(c) 13.9 20.8 24.4
SN(E/C) 0.82
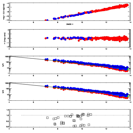
8490061
RedGreenBlue
z18.91
znorm14.73
sky 14.2 14.1 14.2
S/N 15.4 23.3 26.4
S/N(c) 14.2 21.4 25.0
SN(E/C) 0.84
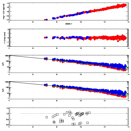
8490062
RedGreenBlue
z18.90
znorm14.72
sky 14.2 14.2 14.3
S/N 15.2 23.0 26.3
S/N(c) 13.8 21.5 24.8
SN(E/C) 0.79
8490063
RedGreenBlue
z18.95
znorm14.77
sky 14.1 14.1 14.3
S/N 15.8 23.9 27.3
S/N(c) 14.4 22.4 25.7
SN(E/C) 0.78
8490064
RedGreenBlue
z18.89
znorm14.71
sky 14.2 14.1 14.3
S/N 15.3 23.3 26.4
S/N(c) 14.1 21.8 25.0
SN(E/C) 0.83