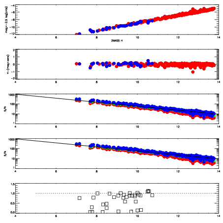
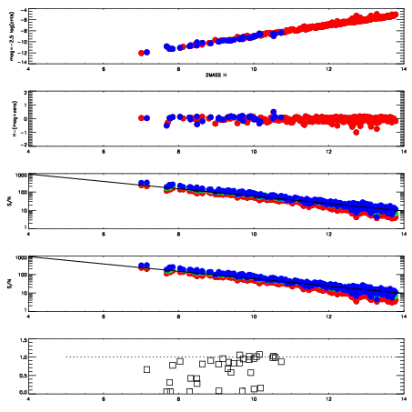
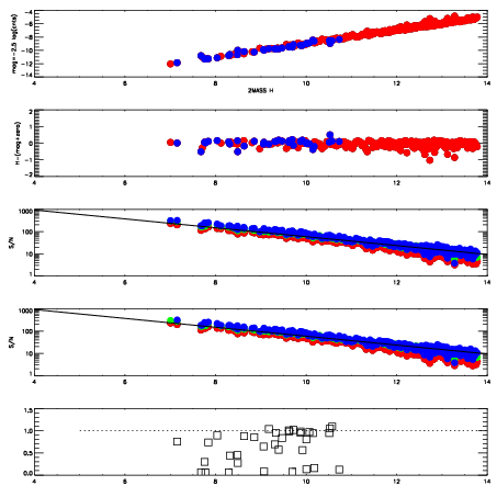
Left plots: red are targets, blue are telluric. Observed mags are calculated from median value of green chip. Zeropoint gives overall throughput: bigger number is more throughput.
First spatial plots: circles are objects, squares are tellurics, crosses are sky fibers. Colors give deviation of observed mag from expected 2MASS mag using the median zeropoint; red is brighter
Second spatial plots: circles are sky fibers. Colors give sky line brightness relative to plate median sky line brightness
FrameNreadsZeropointsMag plots Spatial mag deviation Spatial sky 16325A emission deviations (filled: sky, open: star) Spatial sky continuum emission Spatial sky telluric CO2 absorption deviations (filled: H < 10)
4910080 47
RedGreenBlue
z18.95
znorm14.77
sky 14.7 14.4 14.4
S/N 13.7 21.2 25.1
S/N(c) 12.6 20.0 24.1
SN(E/C) 0.80
4910081 47
RedGreenBlue
z19.01
znorm14.83
sky 14.5 14.4 14.6
S/N 14.1 22.7 25.9
S/N(c) 12.8 20.8 24.4
SN(E/C) 0.81
4910082 47
RedGreenBlue
z18.99
znorm14.81
sky 14.4 14.4 14.5
S/N 14.3 22.4 25.8
S/N(c) 13.1 20.6 24.6
SN(E/C) 0.75
4910083 47
RedGreenBlue
z18.93
znorm14.75
sky 14.7 14.4 14.5
S/N 13.7 22.2 24.5
S/N(c) 12.5 20.4 23.7
SN(E/C) 0.82