PLATE: 5229 MJD: 56412 FIELD: 030+00

FrameCartsec zseeingNreadsDitherPixshiftZerosky continuumS/NS/N(c)
8500066 5 1.26 1.58 47 0.00 0.00 18.78 [14.33,14.03,14.19] [ 13.1, 20.6, 21.1] [ 11.4, 18.7, 19.5]
8500067 5 1.25 1.30 47 0.57 -0.00 18.82 [14.17,14.02,14.27] [ 13.4, 21.0, 22.2] [ 11.8, 19.2, 20.4]
8500068 5 1.24 1.42 47 0.58 0.00 18.75 [14.26,14.10,14.23] [ 12.9, 20.5, 21.1] [ 11.4, 18.6, 19.5]
8500069 5 1.24 1.65 47 0.11 -0.00 18.80 [14.14,14.03,14.23] [ 13.5, 20.8, 21.6] [ 11.7, 18.8, 19.9]
8500070 5 1.23 1.70 47 0.11 0.00 18.64 [14.16,14.15,14.21] [ 12.4, 19.2, 19.6] [ 10.7, 17.2, 18.0]
8500071 5 1.23 1.41 47 0.59 -0.00 18.86 [14.02,14.14,14.20] [ 13.9, 21.2, 22.2] [ 12.0, 19.3, 20.3]
8500072 5 1.23 1.48 47 0.58 -0.00 18.84 [14.13,14.13,14.22] [ 13.8, 21.1, 21.8] [ 11.9, 19.2, 20.2]
8500073 5 1.23 1.56 47 0.11 0.00 18.85 [14.25,14.13,14.22] [ 13.7, 21.0, 22.1] [ 11.8, 19.2, 20.2]
8500074 5 1.23 1.63 47 0.10 0.00 18.83 [14.10,14.13,14.22] [ 13.6, 20.4, 21.5] [ 12.1, 18.5, 19.9]
8500075 5 1.23 1.45 47 0.56 0.00 18.86 [13.88,13.97,13.90] [ 13.9, 20.7, 21.8] [ 12.0, 18.8, 20.3]

IPAIRNAMESHIFTNEWSHIFTS/N NAMESHIFTNEWSHIFTS/N
0 08500071 0.590 0.000 257.81 08500074 0.101 0.490 261.13
1 08500075 0.564 0.026 265.24 08500073 0.108 0.482 261.72
2 08500072 0.583 0.007 255.74 08500069 0.111 0.479 251.68
3 08500067 0.570 0.021 252.82 08500066 0.000 0.590 242.57
4 08500068 0.582 0.008 241.35 08500070 0.112 0.478 235.20

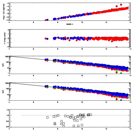
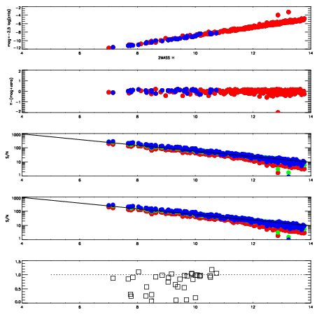
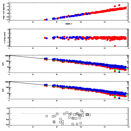
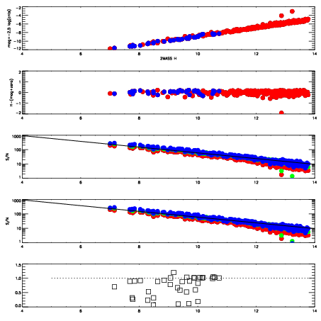
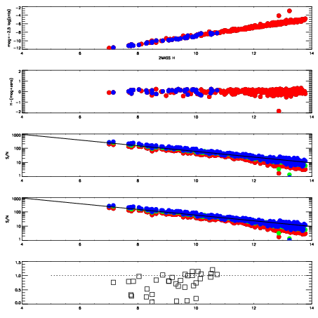
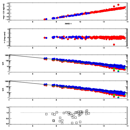
Visit (multiple exposure and dither combined) spectra

FrameZeropointsMag plots Spatial mag deviation Spatial sky 16325A emission deviations (filled: sky, open: star) Spatial sky continuum emission Spatial sky telluric CO2 absorption deviations (filled: H < 10)
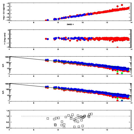
8500066
RedGreenBlue
z18.78
znorm14.60
sky 14.3 14.0 14.2
S/N 13.1 20.6 21.1
S/N(c) 11.4 18.7 19.5
SN(E/C) 0.90
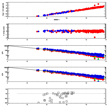
8500067
RedGreenBlue
z18.82
znorm14.64
sky 14.2 14.0 14.3
S/N 13.4 21.0 22.2
S/N(c) 11.8 19.2 20.4
SN(E/C) 0.80
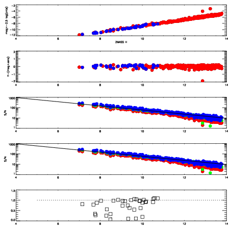
8500068
RedGreenBlue
z18.75
znorm14.57
sky 14.3 14.1 14.2
S/N 12.9 20.5 21.1
S/N(c) 11.4 18.6 19.5
SN(E/C) 0.88
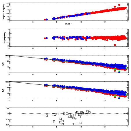
8500069
RedGreenBlue
z18.80
znorm14.62
sky 14.1 14.0 14.2
S/N 13.5 20.8 21.6
S/N(c) 11.7 18.8 19.9
SN(E/C) 0.88
8500070
RedGreenBlue
z18.64
znorm14.46
sky 14.2 14.2 14.2
S/N 12.4 19.2 19.6
S/N(c) 10.7 17.2 18.0
SN(E/C) 0.87
8500071
RedGreenBlue
z18.86
znorm14.68
sky 14.0 14.1 14.2
S/N 13.9 21.2 22.2
S/N(c) 12.0 19.3 20.3
SN(E/C) 0.88
8500072
RedGreenBlue
z18.84
znorm14.66
sky 14.1 14.1 14.2
S/N 13.8 21.1 21.8
S/N(c) 11.9 19.2 20.2
SN(E/C) 0.89
8500073
RedGreenBlue
z18.85
znorm14.67
sky 14.2 14.1 14.2
S/N 13.7 21.0 22.1
S/N(c) 11.8 19.2 20.2
SN(E/C) 0.86
8500074
RedGreenBlue
z18.83
znorm14.65
sky 14.1 14.1 14.2
S/N 13.6 20.4 21.5
S/N(c) 12.1 18.5 19.9
SN(E/C) 0.82
8500075
RedGreenBlue
z18.86
znorm14.68
sky 13.9 14.0 13.9
S/N 13.9 20.7 21.8
S/N(c) 12.0 18.8 20.3
SN(E/C) 0.83