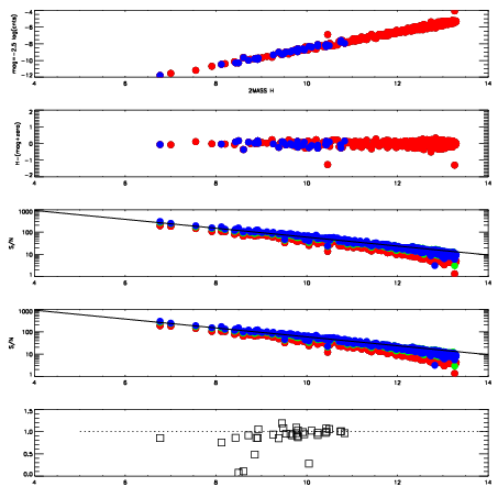
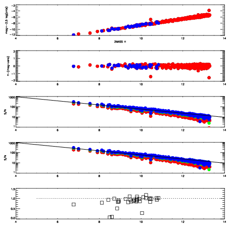
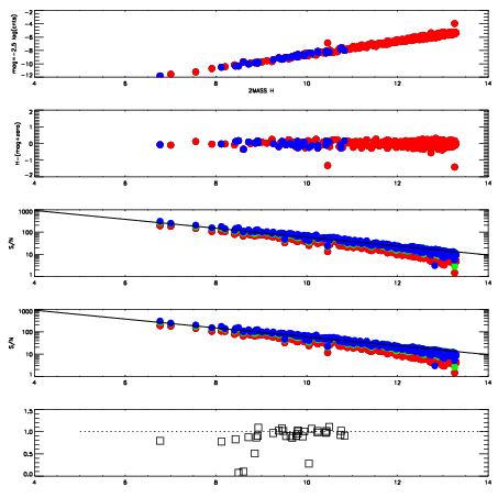
Left plots: red are targets, blue are telluric. Observed mags are calculated from median value of green chip. Zeropoint gives overall throughput: bigger number is more throughput.
First spatial plots: circles are objects, squares are tellurics, crosses are sky fibers. Colors give deviation of observed mag from expected 2MASS mag using the median zeropoint; red is brighter
Second spatial plots: circles are sky fibers. Colors give sky line brightness relative to plate median sky line brightness
FrameNreadsZeropointsMag plots Spatial mag deviation Spatial sky 16325A emission deviations (filled: sky, open: star) Spatial sky continuum emission Spatial sky telluric CO2 absorption deviations (filled: H < 10)
9960018 47
RedGreenBlue
z18.62
znorm14.44
sky 14.5 14.3 14.3
S/N 11.8 19.6 19.9
S/N(c) 10.5 18.1 18.5
SN(E/C) 0.95
9960019 47
RedGreenBlue
z18.65
znorm14.47
sky 14.6 14.5 14.5
S/N 11.8 19.5 20.3
S/N(c) 10.5 18.0 18.8
SN(E/C) 0.92
9960020 47
RedGreenBlue
z18.63
znorm14.45
sky 14.6 14.5 14.7
S/N 11.3 19.4 20.1
S/N(c) 9.7 17.7 18.5
SN(E/C) 0.93
9960021 47
RedGreenBlue
z13.41
znorm 9.23
sky 15.1 15.5 16.2
S/N 0.1 0.3 3.5
S/N(c) 0.0 0.0 0.0
SN(E/C) 1.39