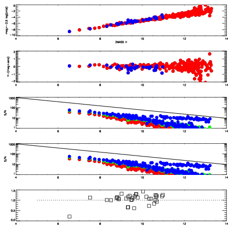
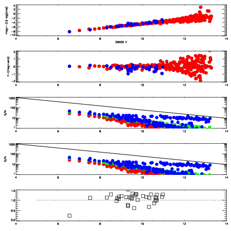
| Frame | Nreads | Zeropoints | Mag plots
| Spatial mag deviation
| Spatial sky 16325A emission deviations (filled: sky, open: star)
| Spatial sky continuum emission
| Spatial sky telluric CO2 absorption deviations (filled: H < 10)
|
| 8730070
| 47
| | Red | Green | Blue
| | z | | 13.83
| | znorm | | 9.65
| | sky | 14.0 | 13.9 | 14.0
| | S/N | 0.0 | 0.7 | 0.4
| | S/N(c) | 0.0 | 0.0 | 0.0
| | SN(E/C) | 2.10
|
|
|
|
|
|
|
| 8730071
| 47
| | Red | Green | Blue
| | z | | 14.62
| | znorm | | 10.44
| | sky | 14.0 | 13.9 | 14.3
| | S/N | 0.3 | 1.0 | 0.8
| | S/N(c) | 0.3 | 0.8 | 1.0
| | SN(E/C) | 1.12
|
|
|
|
|
|
|
| 8730072
| 47
| | Red | Green | Blue
| | z | | 15.07
| | znorm | | 10.89
| | sky | 14.1 | 14.1 | 14.5
| | S/N | 0.5 | 1.3 | 1.3
| | S/N(c) | 0.6 | 1.3 | 1.2
| | SN(E/C) | 1.11
|
|
|
|
|
|
|
| 8730073
| 47
| | Red | Green | Blue
| | z | | 16.03
| | znorm | | 11.85
| | sky | 14.2 | 14.1 | 14.5
| | S/N | 1.2 | 3.0 | 3.2
| | S/N(c) | 1.2 | 2.9 | 3.1
| | SN(E/C) | 1.01
|
|
|
|
|
|
|
| 8730074
| 47
| | Red | Green | Blue
| | z | | 17.11
| | znorm | | 12.93
| | sky | 14.5 | 14.5 | 14.8
| | S/N | 3.6 | 7.5 | 8.8
| | S/N(c) | 3.2 | 6.7 | 8.1
| | SN(E/C) | 1.00
|
|
|
|
|
|
|
| 8730075
| 47
| | Red | Green | Blue
| | z | | 16.37
| | znorm | | 12.19
| | sky | 14.4 | 14.6 | 15.2
| | S/N | 1.7 | 4.1 | 4.7
| | S/N(c) | 1.5 | 3.7 | 4.2
| | SN(E/C) | 1.02
|
|
|
|
|
|
|
| 8730076
| 47
| | Red | Green | Blue
| | z | | 13.83
| | znorm | | 9.65
| | sky | 14.7 | 14.8 | 15.5
| | S/N | -0.0 | 0.4 | 0.3
| | S/N(c) | 0.0 | 0.0 | 0.0
| | SN(E/C) | 1.38
|
|
|
|
|
|
|
| 8730077
| 47
| | Red | Green | Blue
| | z | | 13.83
| | znorm | | 9.65
| | sky | 14.6 | 14.7 | 15.5
| | S/N | 0.2 | 0.6 | 0.4
| | S/N(c) | 0.0 | 0.0 | 0.0
| | SN(E/C) | 1.43
|
|
|
|
|
|
|