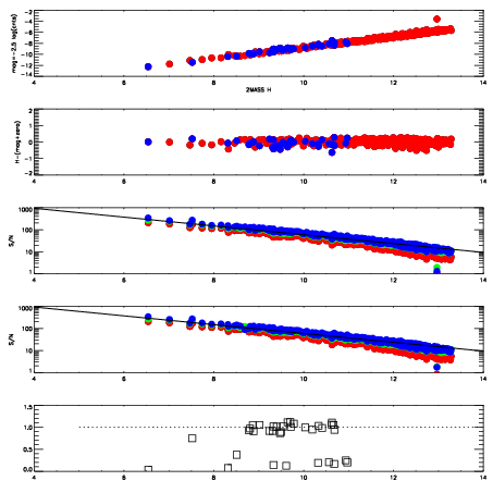
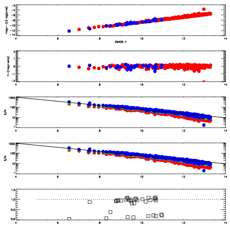
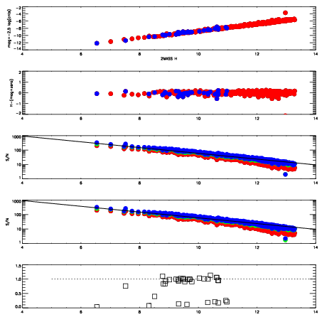
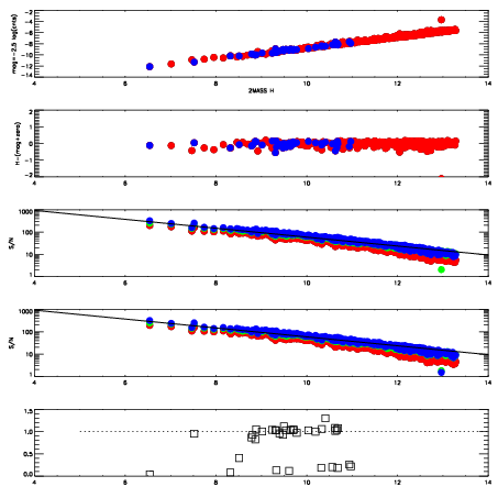
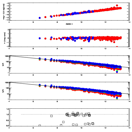
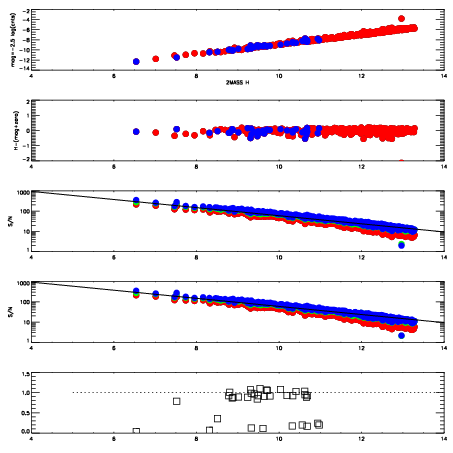
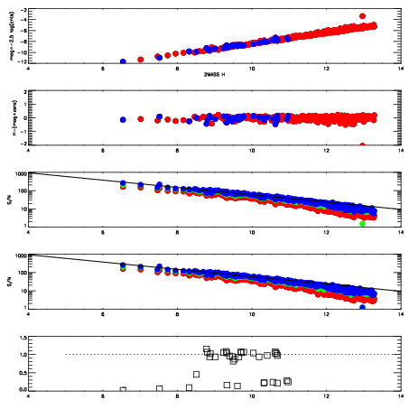
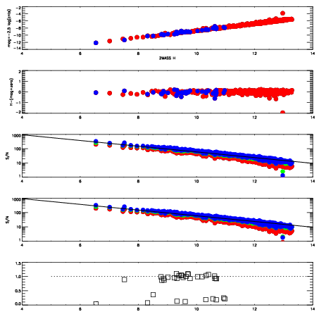
| Frame | Nreads | Zeropoints | Mag plots
| Spatial mag deviation
| Spatial sky 16325A emission deviations (filled: sky, open: star)
| Spatial sky continuum emission
| Spatial sky telluric CO2 absorption deviations (filled: H < 10)
|
| 9090022
| 47
| | Red | Green | Blue
| | z | | 18.86
| | znorm | | 14.68
| | sky | 14.7 | 14.3 | 14.4
| | S/N | 14.2 | 22.7 | 24.5
| | S/N(c) | 12.3 | 21.4 | 23.3
| | SN(E/C) | 0.93
|
|
|
|
|
|
|
| 9090023
| 47
| | Red | Green | Blue
| | z | | 18.76
| | znorm | | 14.58
| | sky | 14.3 | 14.3 | 14.6
| | S/N | 13.4 | 21.5 | 23.7
| | S/N(c) | 11.8 | 20.2 | 22.4
| | SN(E/C) | 0.93
|
|
|
|
|
|
|
| 9090024
| 47
| | Red | Green | Blue
| | z | | 18.73
| | znorm | | 14.55
| | sky | 14.2 | 14.2 | 14.5
| | S/N | 13.1 | 21.0 | 23.4
| | S/N(c) | 11.4 | 19.8 | 21.9
| | SN(E/C) | 0.94
|
|
|
|
|
|
|
| 9090025
| 47
| | Red | Green | Blue
| | z | | 18.40
| | znorm | | 14.22
| | sky | 14.0 | 13.9 | 14.0
| | S/N | 10.0 | 16.1 | 18.7
| | S/N(c) | 8.7 | 14.8 | 17.7
| | SN(E/C) | 0.93
|
|
|
|
|
|
|
| 9090026
| 47
| | Red | Green | Blue
| | z | | 18.77
| | znorm | | 14.59
| | sky | 14.3 | 14.3 | 14.4
| | S/N | 12.8 | 21.9 | 22.7
| | S/N(c) | 10.8 | 19.9 | 21.3
| | SN(E/C) | 0.94
|
|
|
|
|
|
|
| 9090027
| 47
| | Red | Green | Blue
| | z | | 18.78
| | znorm | | 14.60
| | sky | 14.3 | 14.3 | 14.5
| | S/N | 13.6 | 21.5 | 23.8
| | S/N(c) | 11.7 | 20.2 | 22.3
| | SN(E/C) | 0.95
|
|
|
|
|
|
|
| 9090028
| 47
| | Red | Green | Blue
| | z | | 18.91
| | znorm | | 14.73
| | sky | 14.3 | 14.4 | 14.7
| | S/N | 14.7 | 23.2 | 25.6
| | S/N(c) | 13.1 | 21.6 | 24.0
| | SN(E/C) | 0.91
|
|
|
|
|
|
|
| 9090029
| 47
| | Red | Green | Blue
| | z | | 18.77
| | znorm | | 14.59
| | sky | 14.1 | 14.1 | 14.2
| | S/N | 13.3 | 20.8 | 22.5
| | S/N(c) | 11.9 | 19.1 | 21.8
| | SN(E/C) | 1.00
|
|
|
|
|
|
|