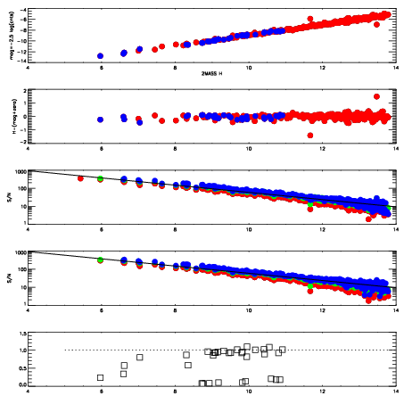
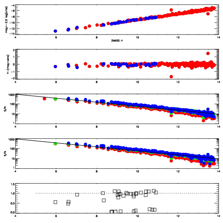
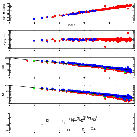
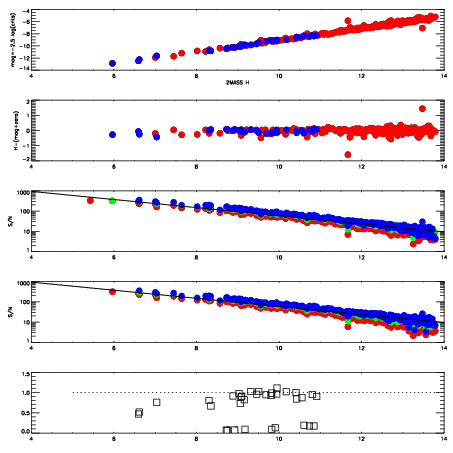
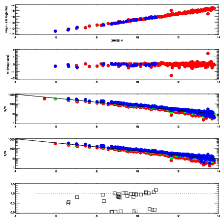
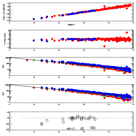
Left plots: red are targets, blue are telluric. Observed mags are calculated from median value of green chip. Zeropoint gives overall throughput: bigger number is more throughput.
First spatial plots: circles are objects, squares are tellurics, crosses are sky fibers. Colors give deviation of observed mag from expected 2MASS mag using the median zeropoint; red is brighter
Second spatial plots: circles are sky fibers. Colors give sky line brightness relative to plate median sky line brightness
FrameNreadsZeropointsMag plots Spatial mag deviation Spatial sky 16325A emission deviations (filled: sky, open: star) Spatial sky continuum emission Spatial sky telluric CO2 absorption deviations (filled: H < 10)
4890084 47
RedGreenBlue
z18.98
znorm14.80
sky 15.1 14.5 13.9
S/N 16.1 25.1 24.8
S/N(c) 14.5 23.8 25.1
SN(E/C) 0.89
4890085 47
RedGreenBlue
z19.09
znorm14.91
sky 15.1 14.9 14.2
S/N 16.8 26.2 26.1
S/N(c) 14.9 24.8 26.6
SN(E/C) 0.85
4890086 47
RedGreenBlue
z19.11
znorm14.93
sky 15.0 15.0 14.2
S/N 17.0 26.3 26.4
S/N(c) 15.3 24.8 26.8
SN(E/C) 0.87
4890087 47
RedGreenBlue
z19.11
znorm14.93
sky 15.3 15.1 14.3
S/N 16.9 26.4 26.7
S/N(c) 15.4 24.9 27.0
SN(E/C) 0.91
4890088 47
RedGreenBlue
z19.10
znorm14.92
sky 15.2 15.0 14.2
S/N 16.9 26.3 26.0
S/N(c) 15.3 24.8 26.5
SN(E/C) 0.87
4890089 47
RedGreenBlue
z19.09
znorm14.91
sky 14.9 14.9 14.2
S/N 16.7 26.3 26.1
S/N(c) 15.0 24.8 26.2
SN(E/C) 0.90