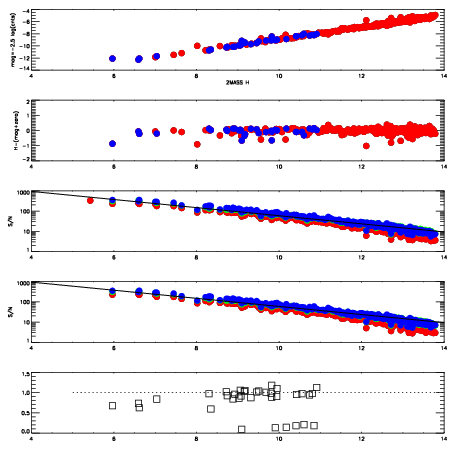
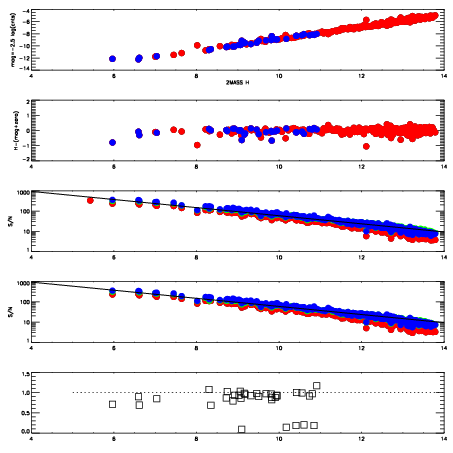
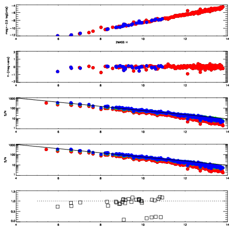
Left plots: red are targets, blue are telluric. Observed mags are calculated from median value of green chip. Zeropoint gives overall throughput: bigger number is more throughput.
First spatial plots: circles are objects, squares are tellurics, crosses are sky fibers. Colors give deviation of observed mag from expected 2MASS mag using the median zeropoint; red is brighter
Second spatial plots: circles are sky fibers. Colors give sky line brightness relative to plate median sky line brightness
FrameNreadsZeropointsMag plots Spatial mag deviation Spatial sky 16325A emission deviations (filled: sky, open: star) Spatial sky continuum emission Spatial sky telluric CO2 absorption deviations (filled: H < 10)
5010011 47
RedGreenBlue
z18.88
znorm14.70
sky 15.2 14.8 14.8
S/N 15.5 24.5 24.5
S/N(c) 13.7 23.3 23.5
SN(E/C) 0.91
5010012 47
RedGreenBlue
z18.88
znorm14.70
sky 15.6 15.1 15.3
S/N 15.3 24.9 25.2
S/N(c) 13.4 23.7 24.1
SN(E/C) 0.92
5010013 47
RedGreenBlue
z18.52
znorm14.34
sky 15.1 15.2 15.5
S/N 12.0 21.0 20.9
S/N(c) 10.5 19.5 19.8
SN(E/C) 0.96
5010014 47
RedGreenBlue
z18.92
znorm14.74
sky 14.8 15.0 15.2
S/N 15.8 25.9 26.5
S/N(c) 14.3 24.3 25.1
SN(E/C) 0.92