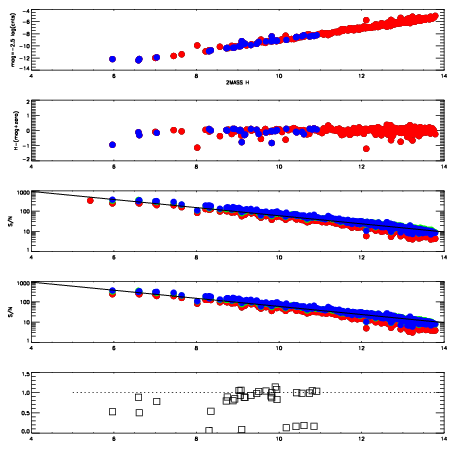
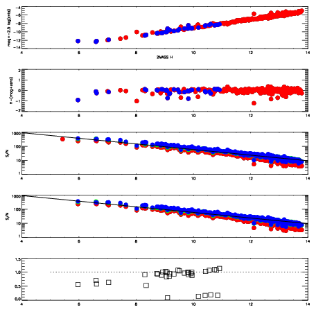
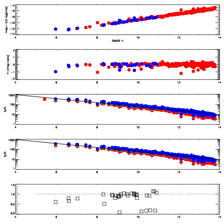
Left plots: red are targets, blue are telluric. Observed mags are calculated from median value of green chip. Zeropoint gives overall throughput: bigger number is more throughput.
First spatial plots: circles are objects, squares are tellurics, crosses are sky fibers. Colors give deviation of observed mag from expected 2MASS mag using the median zeropoint; red is brighter
Second spatial plots: circles are sky fibers. Colors give sky line brightness relative to plate median sky line brightness
FrameNreadsZeropointsMag plots Spatial mag deviation Spatial sky 16325A emission deviations (filled: sky, open: star) Spatial sky continuum emission Spatial sky telluric CO2 absorption deviations (filled: H < 10)
5030011 47
RedGreenBlue
z19.08
znorm14.90
sky 14.7 14.6 14.6
S/N 17.2 27.3 27.6
S/N(c) 15.5 26.1 26.5
SN(E/C) 0.89
5030012 47
RedGreenBlue
z19.07
znorm14.89
sky 14.9 14.9 15.3
S/N 16.9 27.2 28.0
S/N(c) 15.4 26.0 27.0
SN(E/C) 0.91
5030013 47
RedGreenBlue
z19.05
znorm14.87
sky 14.8 15.0 15.5
S/N 16.6 27.1 28.0
S/N(c) 15.3 25.9 26.8
SN(E/C) 0.93
5030014 47
RedGreenBlue
z19.04
znorm14.86
sky 14.8 15.0 15.5
S/N 16.7 27.3 28.1
S/N(c) 15.1 25.8 26.6
SN(E/C) 0.93