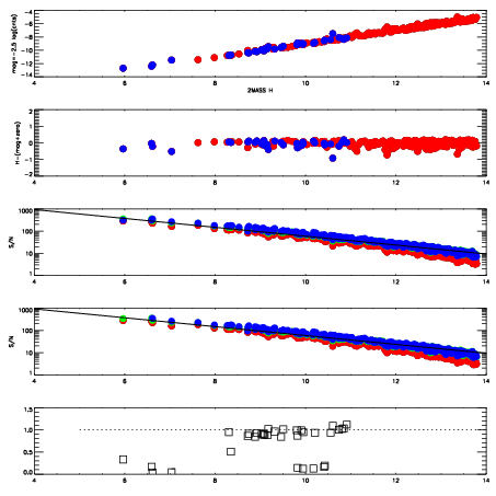
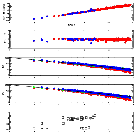
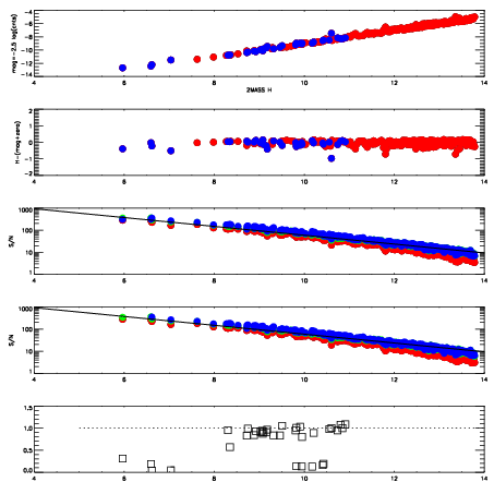
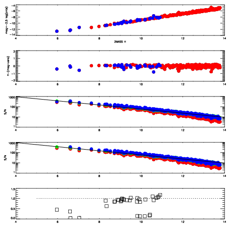
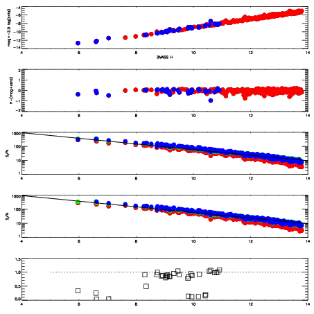
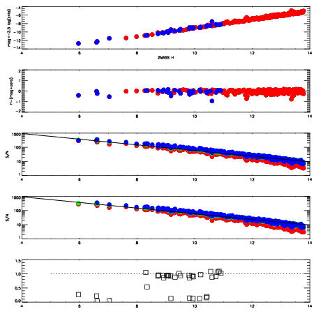
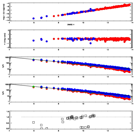
| Frame | Nreads | Zeropoints | Mag plots
| Spatial mag deviation
| Spatial sky 16325A emission deviations (filled: sky, open: star)
| Spatial sky continuum emission
| Spatial sky telluric CO2 absorption deviations (filled: H < 10)
|
| 5170024
| 47
| | Red | Green | Blue
| | z | | 19.01
| | znorm | | 14.83
| | sky | 14.7 | 14.6 | 14.5
| | S/N | 14.8 | 23.5 | 24.6
| | S/N(c) | 13.1 | 21.1 | 23.5
| | SN(E/C) | 0.88
|
|
|
|
|
|
|
| 5170025
| 47
| | Red | Green | Blue
| | z | | 19.03
| | znorm | | 14.85
| | sky | 14.5 | 14.7 | 15.0
| | S/N | 15.1 | 24.4 | 26.0
| | S/N(c) | 13.3 | 21.7 | 24.2
| | SN(E/C) | 0.90
|
|
|
|
|
|
|
| 5170026
| 47
| | Red | Green | Blue
| | z | | 18.97
| | znorm | | 14.79
| | sky | 14.7 | 14.8 | 15.1
| | S/N | 13.6 | 22.6 | 24.2
| | S/N(c) | 12.0 | 20.5 | 22.6
| | SN(E/C) | 0.89
|
|
|
|
|
|
|
| 5170027
| 47
| | Red | Green | Blue
| | z | | 18.97
| | znorm | | 14.79
| | sky | 14.6 | 14.9 | 15.1
| | S/N | 13.7 | 22.9 | 24.7
| | S/N(c) | 12.2 | 20.5 | 22.9
| | SN(E/C) | 0.90
|
|
|
|
|
|
|
| 5170028
| 47
| | Red | Green | Blue
| | z | | 18.97
| | znorm | | 14.79
| | sky | 14.8 | 14.9 | 15.3
| | S/N | 13.2 | 22.4 | 24.2
| | S/N(c) | 11.7 | 20.7 | 22.6
| | SN(E/C) | 0.92
|
|
|
|
|
|
|
| 5170029
| 47
| | Red | Green | Blue
| | z | | 19.04
| | znorm | | 14.86
| | sky | 14.7 | 14.9 | 15.2
| | S/N | 13.6 | 22.5 | 24.5
| | S/N(c) | 12.2 | 21.0 | 22.8
| | SN(E/C) | 0.91
|
|
|
|
|
|
|
| 5170030
| 47
| | Red | Green | Blue
| | z | | 19.07
| | znorm | | 14.88
| | sky | 14.8 | 14.9 | 15.2
| | S/N | 13.8 | 22.7 | 24.6
| | S/N(c) | 12.1 | 20.8 | 22.8
| | SN(E/C) | 0.92
|
|
|
|
|
|
|
| 5170031
| 47
| | Red | Green | Blue
| | z | | 19.08
| | znorm | | 14.90
| | sky | 14.8 | 14.9 | 15.1
| | S/N | 13.7 | 22.7 | 24.6
| | S/N(c) | 12.4 | 20.8 | 22.8
| | SN(E/C) | 0.84
|
|
|
|
|
|
|