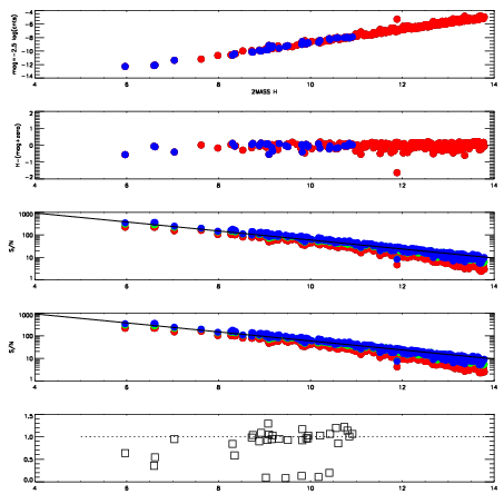
| Frame | Nreads | Zeropoints | Mag plots
| Spatial mag deviation
| Spatial sky 16325A emission deviations (filled: sky, open: star)
| Spatial sky continuum emission
| Spatial sky telluric CO2 absorption deviations (filled: H < 10)
|
| 5210070
| 47
| | Red | Green | Blue
| | z | | 18.33
| | znorm | | 14.14
| | sky | 14.8 | 14.5 | 14.5
| | S/N | 8.6 | 15.6 | 16.4
| | S/N(c) | 7.5 | 14.0 | 15.0
| | SN(E/C) | 0.96
|
|
|
|
|
|
|
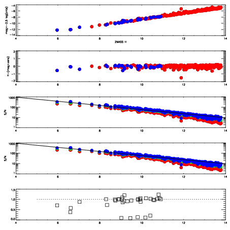
| 5210071
| 47
| | Red | Green | Blue
| | z | | 18.42
| | znorm | | 14.24
| | sky | 14.9 | 14.5 | 14.8
| | S/N | 9.3 | 16.2 | 17.6
| | S/N(c) | 7.9 | 14.3 | 16.4
| | SN(E/C) | 0.98
|
|
|
|
|
|
|
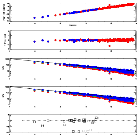
| 5210072
| 47
| | Red | Green | Blue
| | z | | 18.55
| | znorm | | 14.37
| | sky | 14.9 | 14.6 | 15.0
| | S/N | 10.4 | 17.5 | 18.1
| | S/N(c) | 8.9 | 15.4 | 17.0
| | SN(E/C) | 0.94
|
|
|
|
|
|
|
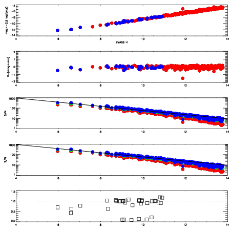
| 5210073
| 47
| | Red | Green | Blue
| | z | | 18.71
| | znorm | | 14.53
| | sky | 14.8 | 14.6 | 14.9
| | S/N | 11.4 | 18.8 | 19.6
| | S/N(c) | 9.8 | 16.7 | 18.1
| | SN(E/C) | 0.97
|
|
|
|
|
|
|
| 5210074
| 47
| | Red | Green | Blue
| | z | | 18.80
| | znorm | | 14.62
| | sky | 14.8 | 14.7 | 14.8
| | S/N | 12.0 | 19.9 | 20.6
| | S/N(c) | 10.2 | 17.7 | 18.9
| | SN(E/C) | 0.95
|
|
|
|
|
|
|
| 5210075
| 47
| | Red | Green | Blue
| | z | | 18.65
| | znorm | | 14.47
| | sky | 14.6 | 14.6 | 14.8
| | S/N | 10.9 | 19.0 | 19.2
| | S/N(c) | 9.3 | 16.8 | 17.6
| | SN(E/C) | 0.98
|
|
|
|
|
|
|
| 5210076
| 47
| | Red | Green | Blue
| | z | | 18.71
| | znorm | | 14.53
| | sky | 14.4 | 14.6 | 14.8
| | S/N | 11.5 | 19.5 | 20.3
| | S/N(c) | 10.0 | 17.2 | 18.5
| | SN(E/C) | 0.95
|
|
|
|
|
|
|
| 5210077
| 47
| | Red | Green | Blue
| | z | | 18.82
| | znorm | | 14.64
| | sky | 14.4 | 14.5 | 14.8
| | S/N | 12.4 | 20.6 | 21.3
| | S/N(c) | 10.8 | 18.1 | 19.5
| | SN(E/C) | 0.94
|
|
|
|
|
|
|