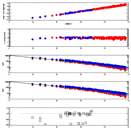
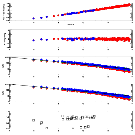
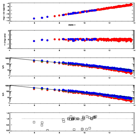
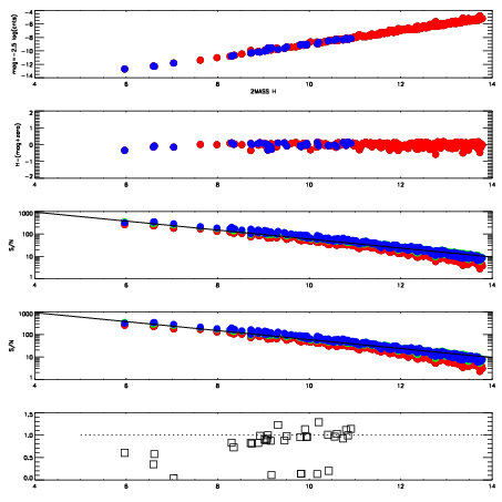
| Frame | Nreads | Zeropoints | Mag plots
| Spatial mag deviation
| Spatial sky 16325A emission deviations (filled: sky, open: star)
| Spatial sky continuum emission
| Spatial sky telluric CO2 absorption deviations (filled: H < 10)
|
| 6060010
| 47
| | Red | Green | Blue
| | z | | 19.00
| | znorm | | 14.82
| | sky | 14.6 | 14.3 | 14.3
| | S/N | 14.5 | 23.3 | 23.5
| | S/N(c) | 12.9 | 21.6 | 21.9
| | SN(E/C) | 0.90
|
|
|
|
|
|
|
| 6060011
| 47
| | Red | Green | Blue
| | z | | 18.95
| | znorm | | 14.77
| | sky | 14.6 | 14.4 | 14.7
| | S/N | 13.7 | 22.1 | 22.8
| | S/N(c) | 12.0 | 20.5 | 21.0
| | SN(E/C) | 0.93
|
|
|
|
|
|
|
| 6060012
| 47
| | Red | Green | Blue
| | z | | 18.83
| | znorm | | 14.65
| | sky | 14.5 | 14.5 | 14.7
| | S/N | 12.5 | 20.7 | 21.4
| | S/N(c) | 10.9 | 18.9 | 19.3
| | SN(E/C) | 0.98
|
|
|
|
|
|
|
| 6060013
| 47
| | Red | Green | Blue
| | z | | 18.85
| | znorm | | 14.67
| | sky | 14.5 | 14.4 | 14.6
| | S/N | 12.7 | 20.8 | 21.4
| | S/N(c) | 11.3 | 19.0 | 19.8
| | SN(E/C) | 0.95
|
|
|
|
|
|
|
| 6060014
| 47
| | Red | Green | Blue
| | z | | 18.94
| | znorm | | 14.76
| | sky | 14.5 | 14.4 | 14.5
| | S/N | 13.7 | 22.1 | 23.2
| | S/N(c) | 12.2 | 20.3 | 21.0
| | SN(E/C) | 0.93
|
|
|
|
|
|
|
| 6060015
| 47
| | Red | Green | Blue
| | z | | 18.95
| | znorm | | 14.77
| | sky | 14.5 | 14.3 | 14.5
| | S/N | 13.5 | 22.1 | 22.8
| | S/N(c) | 11.8 | 20.4 | 20.7
| | SN(E/C) | 0.90
|
|
|
|
|
|
|
| 6060016
| 47
| | Red | Green | Blue
| | z | | 18.74
| | znorm | | 14.56
| | sky | 14.4 | 14.4 | 14.5
| | S/N | 12.0 | 19.6 | 20.3
| | S/N(c) | 10.3 | 17.6 | 18.3
| | SN(E/C) | 0.92
|
|
|
|
|
|
|
| 6060017
| 47
| | Red | Green | Blue
| | z | | 18.91
| | znorm | | 14.73
| | sky | 14.6 | 14.4 | 14.5
| | S/N | 13.3 | 21.4 | 22.3
| | S/N(c) | 11.6 | 19.6 | 20.4
| | SN(E/C) | 0.94
|
|
|
|
|
|
|