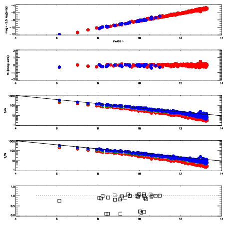
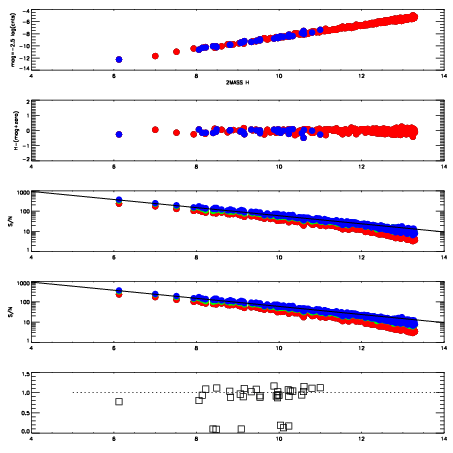
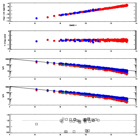
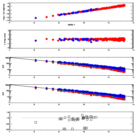
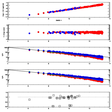
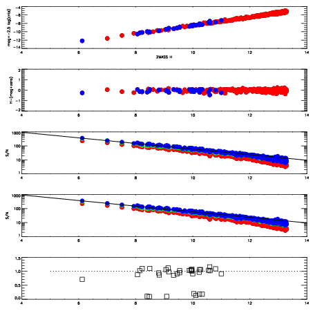
Frame | Nreads | Zeropoints | Mag plots
| Spatial mag deviation
| Spatial sky 16325A emission deviations (filled: sky, open: star)
| Spatial sky continuum emission
| Spatial sky telluric CO2 absorption deviations (filled: H < 10)
|
5450022
| 47
| | Red | Green | Blue
| z | | 18.29
| znorm | | 14.11
| sky | 14.4 | 14.5 | 14.4
| S/N | 10.3 | 18.5 | 18.7
| S/N(c) | 8.8 | 17.0 | 17.4
| SN(E/C) | 0.94
|
|
|
|
|
|
|
5450023
| 47
| | Red | Green | Blue
| z | | 18.33
| znorm | | 14.15
| sky | 14.5 | 14.5 | 14.8
| S/N | 10.8 | 18.9 | 19.6
| S/N(c) | 9.2 | 17.3 | 18.2
| SN(E/C) | 0.97
|
|
|
|
|
|
|
5450024
| 47
| | Red | Green | Blue
| z | | 18.74
| znorm | | 14.56
| sky | 14.4 | 14.4 | 14.6
| S/N | 13.8 | 23.6 | 24.7
| S/N(c) | 12.2 | 21.9 | 23.4
| SN(E/C) | 0.94
|
|
|
|
|
|
|
5450025
| 47
| | Red | Green | Blue
| z | | 18.78
| znorm | | 14.60
| sky | 14.4 | 14.5 | 14.5
| S/N | 14.4 | 24.2 | 24.8
| S/N(c) | 12.6 | 22.5 | 23.7
| SN(E/C) | 0.93
|
|
|
|
|
|
|
5450026
| 47
| | Red | Green | Blue
| z | | 18.55
| znorm | | 14.37
| sky | 14.6 | 14.7 | 14.7
| S/N | 12.2 | 21.3 | 22.0
| S/N(c) | 10.4 | 19.6 | 20.4
| SN(E/C) | 0.98
|
|
|
|
|
|
|
5450027
| 47
| | Red | Green | Blue
| z | | 18.62
| znorm | | 14.44
| sky | 14.7 | 14.6 | 14.7
| S/N | 12.8 | 22.0 | 22.8
| S/N(c) | 11.1 | 20.4 | 21.4
| SN(E/C) | 0.94
|
|
|
|
|
|
|
5450028
| 47
| | Red | Green | Blue
| z | | 18.62
| znorm | | 14.44
| sky | 14.5 | 14.6 | 14.8
| S/N | 12.9 | 22.1 | 23.0
| S/N(c) | 11.1 | 20.6 | 21.6
| SN(E/C) | 0.96
|
|
|
|
|
|
|
5450029
| 47
| | Red | Green | Blue
| z | | 18.68
| znorm | | 14.49
| sky | 14.4 | 14.7 | 14.8
| S/N | 13.2 | 22.7 | 23.5
| S/N(c) | 11.6 | 21.0 | 22.2
| SN(E/C) | 0.98
|
|
|
|
|
|
|