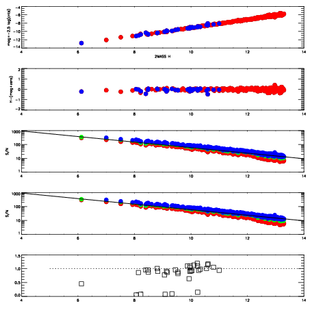
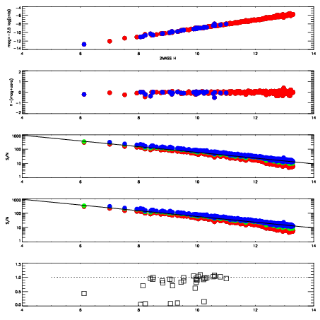
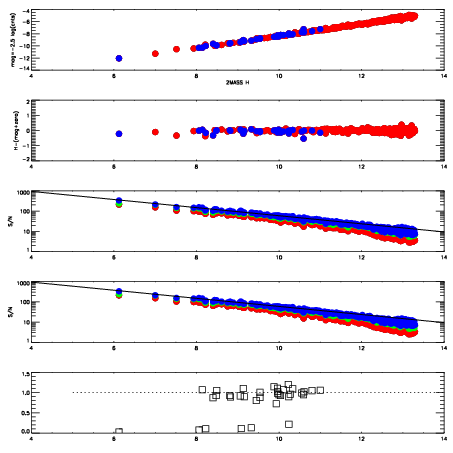
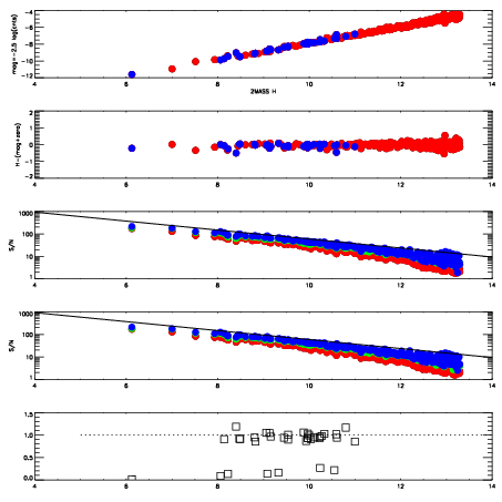
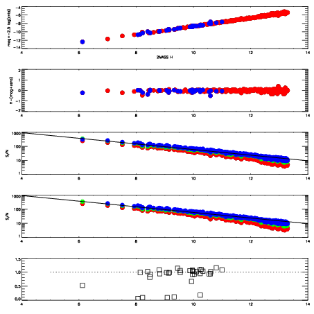
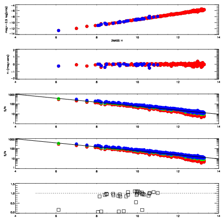
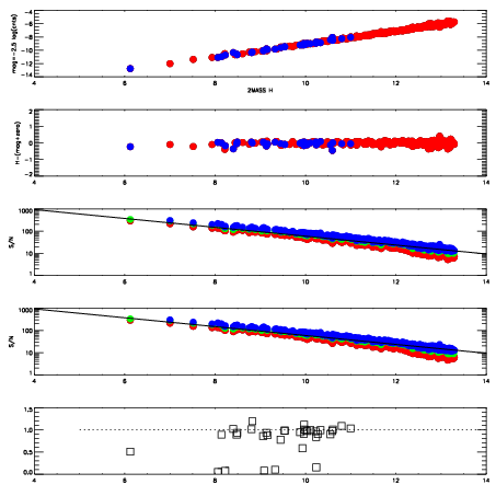
Frame | Nreads | Zeropoints | Mag plots
| Spatial mag deviation
| Spatial sky 16325A emission deviations (filled: sky, open: star)
| Spatial sky continuum emission
| Spatial sky telluric CO2 absorption deviations (filled: H < 10)
|
6320026
| 47
| | Red | Green | Blue
| z | | 17.93
| znorm | | 13.75
| sky | 13.9 | 13.8 | 13.8
| S/N | 6.9 | 12.6 | 14.4
| S/N(c) | 6.2 | 11.5 | 13.3
| SN(E/C) | 0.93
|
|
|
|
|
|
|
6320027
| 47
| | Red | Green | Blue
| z | | 18.38
| znorm | | 14.20
| sky | 14.0 | 13.9 | 14.2
| S/N | 9.8 | 16.8 | 18.5
| S/N(c) | 8.6 | 15.6 | 17.0
| SN(E/C) | 0.94
|
|
|
|
|
|
|
6320028
| 47
| | Red | Green | Blue
| z | | 19.09
| znorm | | 14.91
| sky | 14.2 | 14.4 | 14.6
| S/N | 16.4 | 26.6 | 27.9
| S/N(c) | 14.8 | 25.2 | 26.5
| SN(E/C) | 0.92
|
|
|
|
|
|
|
6320029
| 47
| | Red | Green | Blue
| z | | 18.72
| znorm | | 14.54
| sky | 14.1 | 14.2 | 14.4
| S/N | 12.4 | 21.2 | 22.2
| S/N(c) | 11.3 | 19.9 | 20.8
| SN(E/C) | 0.98
|
|
|
|
|
|
|
6320030
| 47
| | Red | Green | Blue
| z | | 19.01
| znorm | | 14.83
| sky | 14.4 | 14.4 | 14.6
| S/N | 15.2 | 25.4 | 26.6
| S/N(c) | 13.7 | 24.1 | 25.0
| SN(E/C) | 0.94
|
|
|
|
|
|
|
6320031
| 47
| | Red | Green | Blue
| z | | 19.11
| znorm | | 14.93
| sky | 14.5 | 14.5 | 14.7
| S/N | 16.8 | 27.3 | 28.5
| S/N(c) | 15.0 | 26.0 | 26.9
| SN(E/C) | 0.93
|
|
|
|
|
|
|
6320032
| 47
| | Red | Green | Blue
| z | | 19.14
| znorm | | 14.96
| sky | 14.5 | 14.5 | 14.7
| S/N | 16.7 | 27.6 | 29.0
| S/N(c) | 15.2 | 26.0 | 27.3
| SN(E/C) | 0.92
|
|
|
|
|
|
|
6320033
| 47
| | Red | Green | Blue
| z | | 19.15
| znorm | | 14.97
| sky | 14.6 | 14.5 | 14.7
| S/N | 17.0 | 27.7 | 29.2
| S/N(c) | 15.2 | 26.2 | 27.4
| SN(E/C) | 0.93
|
|
|
|
|
|
|