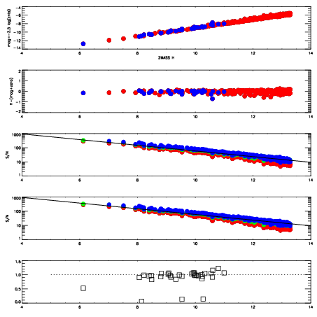
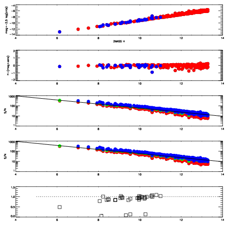
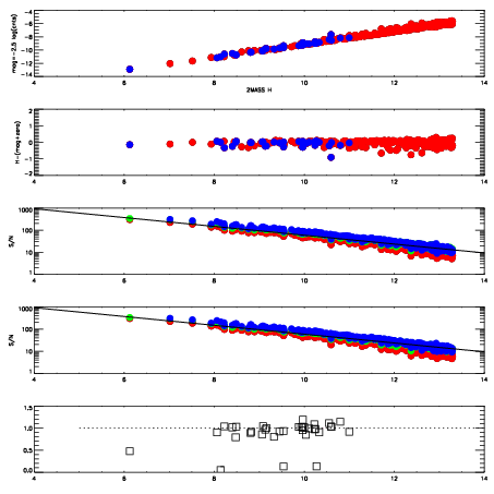
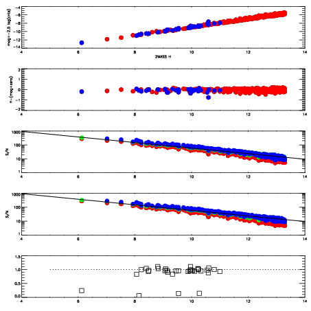
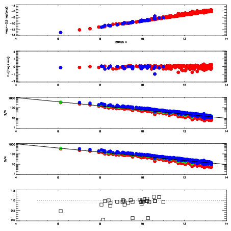
Frame | Nreads | Zeropoints | Mag plots
| Spatial mag deviation
| Spatial sky 16325A emission deviations (filled: sky, open: star)
| Spatial sky continuum emission
| Spatial sky telluric CO2 absorption deviations (filled: H < 10)
|
6610010
| 47
| | Red | Green | Blue
| z | | 18.99
| znorm | | 14.81
| sky | 14.5 | 14.6 | 14.1
| S/N | 15.6 | 24.9 | 24.8
| S/N(c) | 14.3 | 23.2 | 24.6
| SN(E/C) | 0.95
|
|
|
|
|
|
|
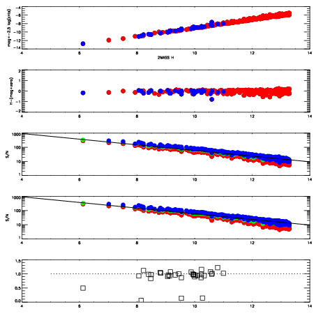
6610011
| 47
| | Red | Green | Blue
| z | | 19.04
| znorm | | 14.86
| sky | 15.0 | 14.6 | 14.6
| S/N | 16.2 | 25.6 | 26.8
| S/N(c) | 14.8 | 24.1 | 25.8
| SN(E/C) | 0.97
|
|
|
|
|
|
|
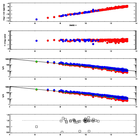
6610012
| 47
| | Red | Green | Blue
| z | | 19.06
| znorm | | 14.88
| sky | 14.6 | 14.7 | 14.6
| S/N | 16.0 | 25.7 | 26.6
| S/N(c) | 14.4 | 24.5 | 25.5
| SN(E/C) | 0.97
|
|
|
|
|
|
|
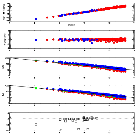
6610013
| 47
| | Red | Green | Blue
| z | | 19.09
| znorm | | 14.91
| sky | 14.8 | 14.6 | 14.5
| S/N | 16.8 | 26.4 | 27.1
| S/N(c) | 15.2 | 24.4 | 26.1
| SN(E/C) | 0.97
|
|
|
|
|
|
|
6610014
| 47
| | Red | Green | Blue
| z | | 19.13
| znorm | | 14.95
| sky | 15.2 | 14.5 | 14.4
| S/N | 17.0 | 26.8 | 27.7
| S/N(c) | 15.2 | 25.2 | 27.0
| SN(E/C) | 0.96
|
|
|
|
|
|
|
6610015
| 47
| | Red | Green | Blue
| z | | 19.16
| znorm | | 14.98
| sky | 14.7 | 14.6 | 14.4
| S/N | 17.1 | 27.4 | 28.1
| S/N(c) | 15.6 | 25.6 | 27.1
| SN(E/C) | 0.97
|
|
|
|
|
|
|
6610016
| 47
| | Red | Green | Blue
| z | | 19.21
| znorm | | 15.03
| sky | 14.7 | 14.7 | 14.4
| S/N | 17.6 | 27.9 | 28.9
| S/N(c) | 15.8 | 26.1 | 27.8
| SN(E/C) | 0.92
|
|
|
|
|
|
|
6610017
| 47
| | Red | Green | Blue
| z | | 19.18
| znorm | | 15.00
| sky | 15.0 | 14.7 | 14.4
| S/N | 17.4 | 27.5 | 28.4
| S/N(c) | 15.5 | 25.6 | 27.1
| SN(E/C) | 0.93
|
|
|
|
|
|
|