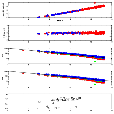
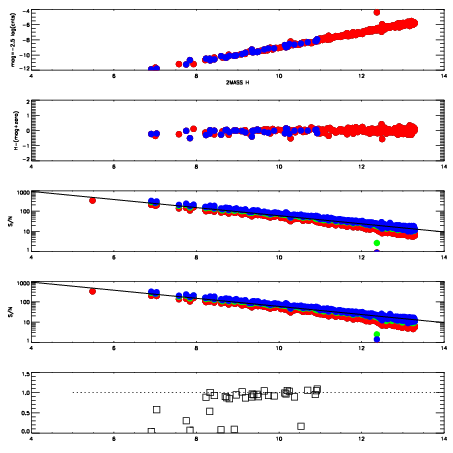
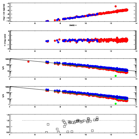
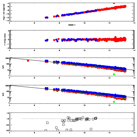
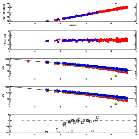
Frame | Nreads | Zeropoints | Mag plots
| Spatial mag deviation
| Spatial sky 16325A emission deviations (filled: sky, open: star)
| Spatial sky continuum emission
| Spatial sky telluric CO2 absorption deviations (filled: H < 10)
|
6110021
| 47
| | Red | Green | Blue
| z | | 19.01
| znorm | | 14.83
| sky | 14.7 | 14.4 | 14.4
| S/N | 15.7 | 24.5 | 27.0
| S/N(c) | 14.0 | 23.3 | 25.4
| SN(E/C) | 0.92
|
|
|
|
|
|
|
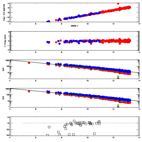
6110022
| 47
| | Red | Green | Blue
| z | | 19.06
| znorm | | 14.88
| sky | 14.6 | 14.5 | 14.8
| S/N | 16.2 | 25.4 | 27.9
| S/N(c) | 14.6 | 24.1 | 26.2
| SN(E/C) | 0.94
|
|
|
|
|
|
|
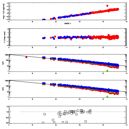
6110023
| 47
| | Red | Green | Blue
| z | | 19.02
| znorm | | 14.84
| sky | 14.7 | 14.5 | 14.9
| S/N | 15.7 | 25.2 | 27.1
| S/N(c) | 14.0 | 23.5 | 25.4
| SN(E/C) | 0.92
|
|
|
|
|
|
|
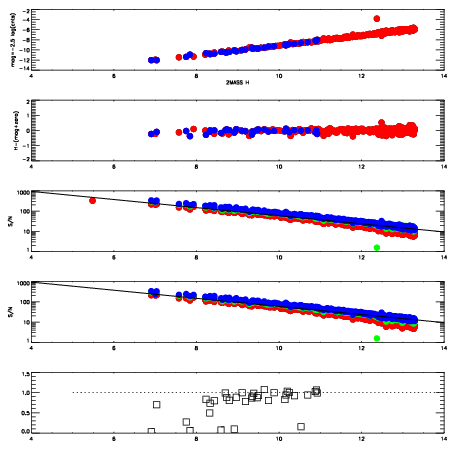
6110024
| 47
| | Red | Green | Blue
| z | | 19.03
| znorm | | 14.85
| sky | 14.7 | 14.7 | 14.8
| S/N | 15.6 | 25.3 | 27.0
| S/N(c) | 14.1 | 23.5 | 25.6
| SN(E/C) | 0.90
|
|
|
|
|
|
|
6110025
| 47
| | Red | Green | Blue
| z | | 19.02
| znorm | | 14.84
| sky | 14.4 | 14.6 | 14.8
| S/N | 15.3 | 25.2 | 26.9
| S/N(c) | 13.9 | 23.4 | 25.3
| SN(E/C) | 0.92
|
|
|
|
|
|
|
6110026
| 47
| | Red | Green | Blue
| z | | 19.10
| znorm | | 14.92
| sky | 14.5 | 14.6 | 14.8
| S/N | 16.2 | 26.0 | 28.1
| S/N(c) | 14.7 | 24.4 | 26.3
| SN(E/C) | 0.90
|
|
|
|
|
|
|
6110027
| 47
| | Red | Green | Blue
| z | | 19.15
| znorm | | 14.97
| sky | 14.4 | 14.6 | 14.7
| S/N | 16.7 | 26.7 | 28.6
| S/N(c) | 15.1 | 25.0 | 26.8
| SN(E/C) | 0.93
|
|
|
|
|
|
|
6110028
| 47
| | Red | Green | Blue
| z | | 19.15
| znorm | | 14.97
| sky | 14.5 | 14.7 | 14.6
| S/N | 16.8 | 26.6 | 28.4
| S/N(c) | 15.0 | 24.6 | 26.8
| SN(E/C) | 0.88
|
|
|
|
|
|
|