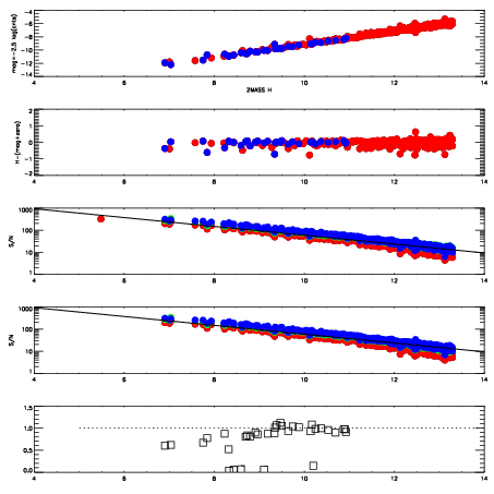
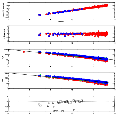
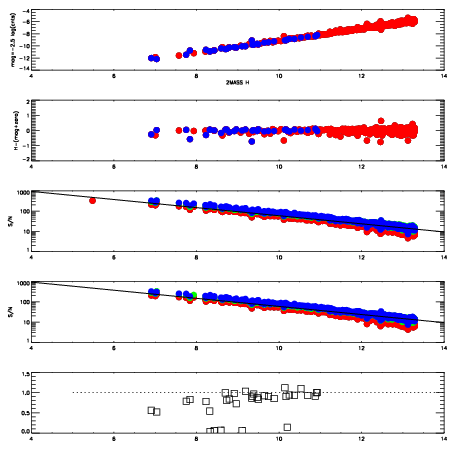
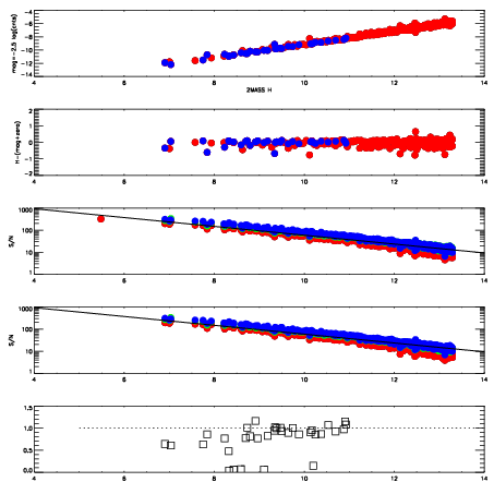
| Frame | Nreads | Zeropoints | Mag plots
| Spatial mag deviation
| Spatial sky 16325A emission deviations (filled: sky, open: star)
| Spatial sky continuum emission
| Spatial sky telluric CO2 absorption deviations (filled: H < 10)
|
| 2830008
| 47
| | Red | Green | Blue
| | z | | 19.17
| | znorm | | 14.98
| | sky | 14.5 | 14.2 | 14.0
| | S/N | 17.3 | 27.4 | 26.4
| | S/N(c) | 15.7 | 25.6 | 25.3
| | SN(E/C) | 0.88
|
|
|
|
|
|
|
| 2830009
| 47
| | Red | Green | Blue
| | z | | 19.18
| | znorm | | 15.00
| | sky | 14.6 | 14.5 | 14.3
| | S/N | 16.9 | 27.4 | 27.0
| | S/N(c) | 15.2 | 25.5 | 25.8
| | SN(E/C) | 0.89
|
|
|
|
|
|
|
| 2830010
| 47
| | Red | Green | Blue
| | z | | 19.18
| | znorm | | 15.00
| | sky | 14.5 | 14.5 | 14.3
| | S/N | 16.9 | 27.6 | 27.1
| | S/N(c) | 15.1 | 25.5 | 25.9
| | SN(E/C) | 0.86
|
|
|
|
|
|
|
| 2830011
| 47
| | Red | Green | Blue
| | z | | 19.16
| | znorm | | 14.98
| | sky | 14.7 | 14.5 | 14.3
| | S/N | 16.8 | 27.0 | 27.1
| | S/N(c) | 15.2 | 25.3 | 25.8
| | SN(E/C) | 0.86
|
|
|
|
|
|
|
| 2830012
| 47
| | Red | Green | Blue
| | z | | 19.19
| | znorm | | 15.01
| | sky | 14.6 | 14.6 | 14.4
| | S/N | 16.6 | 27.0 | 27.3
| | S/N(c) | 15.0 | 25.1 | 26.1
| | SN(E/C) | 0.90
|
|
|
|
|
|
|
| 2830013
| 47
| | Red | Green | Blue
| | z | | 19.20
| | znorm | | 15.02
| | sky | 14.6 | 14.7 | 14.5
| | S/N | 16.7 | 27.3 | 27.8
| | S/N(c) | 15.0 | 25.5 | 26.3
| | SN(E/C) | 0.88
|
|
|
|
|
|
|
| 2830014
| 47
| | Red | Green | Blue
| | z | | 19.19
| | znorm | | 15.01
| | sky | 14.8 | 14.7 | 14.4
| | S/N | 16.7 | 27.1 | 27.5
| | S/N(c) | 15.1 | 25.4 | 26.3
| | SN(E/C) | 0.89
|
|
|
|
|
|
|
| 2830015
| 47
| | Red | Green | Blue
| | z | | 19.18
| | znorm | | 15.00
| | sky | 14.7 | 14.6 | 14.4
| | S/N | 16.1 | 26.5 | 27.3
| | S/N(c) | 14.7 | 24.9 | 26.1
| | SN(E/C) | 0.92
|
|
|
|
|
|
|