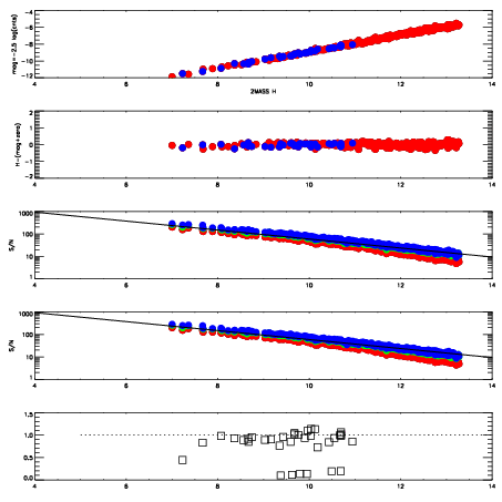
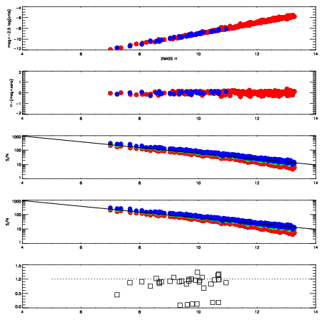
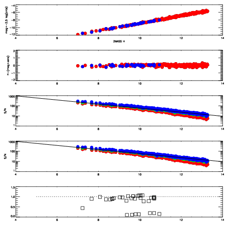
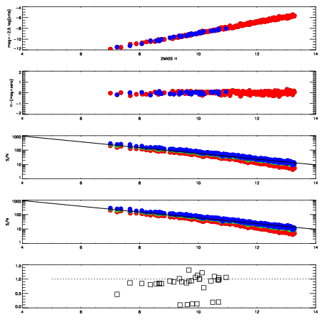
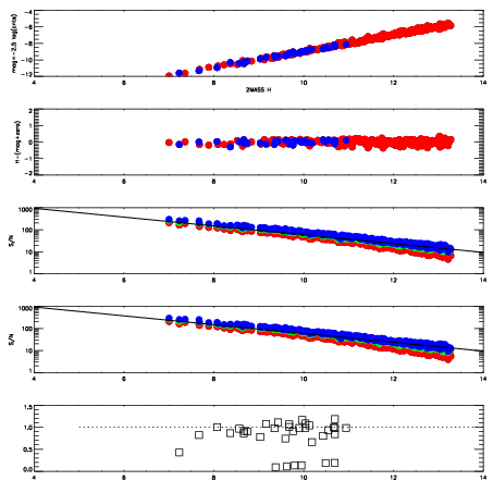
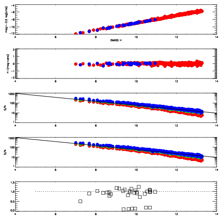
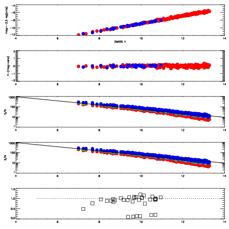
| Frame | Nreads | Zeropoints | Mag plots
| Spatial mag deviation
| Spatial sky 16325A emission deviations (filled: sky, open: star)
| Spatial sky continuum emission
| Spatial sky telluric CO2 absorption deviations (filled: H < 10)
|
| 5490048
| 47
| | Red | Green | Blue
| | z | | 18.98
| | znorm | | 14.80
| | sky | 14.7 | 14.3 | 14.3
| | S/N | 13.8 | 22.3 | 24.6
| | S/N(c) | 12.3 | 21.1 | 23.2
| | SN(E/C) | 0.91
|
|
|
|
|
|
|
| 5490049
| 47
| | Red | Green | Blue
| | z | | 18.97
| | znorm | | 14.79
| | sky | 14.4 | 14.2 | 14.5
| | S/N | 13.9 | 22.5 | 24.8
| | S/N(c) | 12.2 | 21.3 | 23.4
| | SN(E/C) | 0.90
|
|
|
|
|
|
|
| 5490050
| 47
| | Red | Green | Blue
| | z | | 18.96
| | znorm | | 14.78
| | sky | 14.4 | 14.3 | 14.5
| | S/N | 13.5 | 22.4 | 24.2
| | S/N(c) | 12.1 | 21.1 | 22.9
| | SN(E/C) | 0.96
|
|
|
|
|
|
|
| 5490051
| 47
| | Red | Green | Blue
| | z | | 18.89
| | znorm | | 14.71
| | sky | 14.3 | 14.3 | 14.6
| | S/N | 12.9 | 22.1 | 23.3
| | S/N(c) | 11.7 | 20.5 | 22.0
| | SN(E/C) | 0.94
|
|
|
|
|
|
|
| 5490052
| 47
| | Red | Green | Blue
| | z | | 18.85
| | znorm | | 14.67
| | sky | 14.4 | 14.4 | 14.6
| | S/N | 12.5 | 21.2 | 23.0
| | S/N(c) | 11.0 | 19.5 | 21.6
| | SN(E/C) | 0.96
|
|
|
|
|
|
|
| 5490053
| 47
| | Red | Green | Blue
| | z | | 18.89
| | znorm | | 14.71
| | sky | 14.7 | 14.3 | 14.5
| | S/N | 13.0 | 22.0 | 23.4
| | S/N(c) | 11.6 | 20.4 | 21.9
| | SN(E/C) | 0.91
|
|
|
|
|
|
|
| 5490054
| 47
| | Red | Green | Blue
| | z | | 18.88
| | znorm | | 14.70
| | sky | 14.4 | 14.5 | 14.6
| | S/N | 12.9 | 21.5 | 23.5
| | S/N(c) | 11.4 | 19.8 | 22.1
| | SN(E/C) | 0.90
|
|
|
|
|
|
|
| 5490055
| 47
| | Red | Green | Blue
| | z | | 18.92
| | znorm | | 14.74
| | sky | 14.4 | 14.5 | 14.6
| | S/N | 12.9 | 21.9 | 24.4
| | S/N(c) | 11.7 | 20.1 | 22.8
| | SN(E/C) | 0.92
|
|
|
|
|
|
|