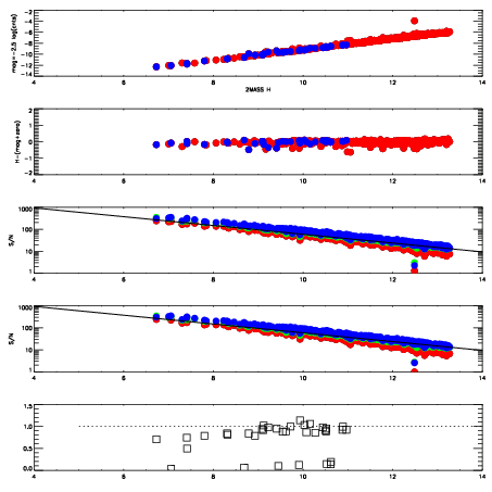
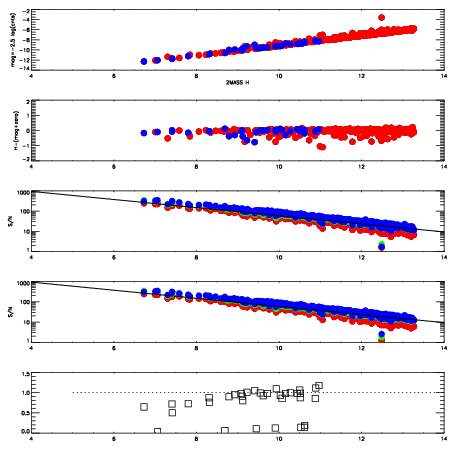
| Frame | Nreads | Zeropoints | Mag plots
| Spatial mag deviation
| Spatial sky 16325A emission deviations (filled: sky, open: star)
| Spatial sky continuum emission
| Spatial sky telluric CO2 absorption deviations (filled: H < 10)
|
| 5200069
| 47
| | Red | Green | Blue
| | z | | 19.17
| | znorm | | 14.99
| | sky | 14.5 | 14.4 | 14.3
| | S/N | 16.1 | 25.3 | 28.9
| | S/N(c) | 14.8 | 23.0 | 27.6
| | SN(E/C) | 0.89
|
|
|
|
|
|
|
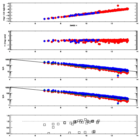
| 5200070
| 47
| | Red | Green | Blue
| | z | | 19.11
| | znorm | | 14.93
| | sky | 14.6 | 14.4 | 14.6
| | S/N | 15.7 | 24.6 | 28.6
| | S/N(c) | 14.2 | 22.9 | 27.2
| | SN(E/C) | 0.90
|
|
|
|
|
|
|
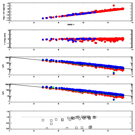
| 5200071
| 47
| | Red | Green | Blue
| | z | | 19.16
| | znorm | | 14.98
| | sky | 14.5 | 14.5 | 14.6
| | S/N | 15.9 | 25.5 | 29.3
| | S/N(c) | 14.7 | 24.3 | 28.1
| | SN(E/C) | 0.89
|
|
|
|
|
|
|
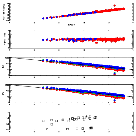
| 5200072
| 47
| | Red | Green | Blue
| | z | | 19.20
| | znorm | | 15.02
| | sky | 14.5 | 14.6 | 14.7
| | S/N | 16.7 | 26.3 | 29.5
| | S/N(c) | 14.9 | 24.4 | 28.3
| | SN(E/C) | 0.89
|
|
|
|
|
|
|
| 5200073
| 47
| | Red | Green | Blue
| | z | | 19.20
| | znorm | | 15.02
| | sky | 14.6 | 14.6 | 14.7
| | S/N | 16.4 | 26.5 | 29.5
| | S/N(c) | 15.1 | 24.3 | 28.1
| | SN(E/C) | 0.86
|
|
|
|
|
|
|
| 5200074
| 47
| | Red | Green | Blue
| | z | | 19.18
| | znorm | | 15.00
| | sky | 14.7 | 14.6 | 14.7
| | S/N | 16.1 | 25.8 | 28.7
| | S/N(c) | 14.7 | 24.4 | 27.4
| | SN(E/C) | 0.88
|
|
|
|
|
|
|
| 5200075
| 47
| | Red | Green | Blue
| | z | | 19.20
| | znorm | | 15.02
| | sky | 14.6 | 14.7 | 14.7
| | S/N | 16.6 | 26.7 | 29.5
| | S/N(c) | 15.0 | 25.1 | 28.1
| | SN(E/C) | 0.92
|
|
|
|
|
|
|
| 5200076
| 47
| | Red | Green | Blue
| | z | | 19.19
| | znorm | | 15.01
| | sky | 14.4 | 14.7 | 14.8
| | S/N | 16.3 | 26.4 | 29.0
| | S/N(c) | 15.1 | 24.9 | 27.9
| | SN(E/C) | 0.90
|
|
|
|
|
|
|