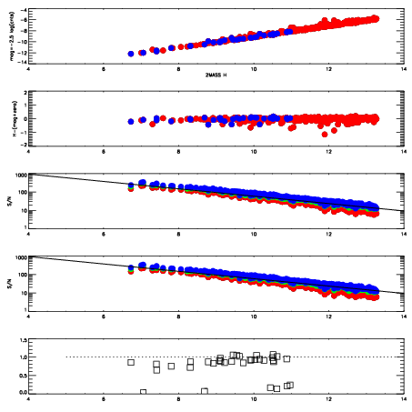
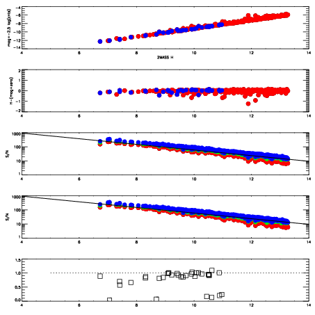
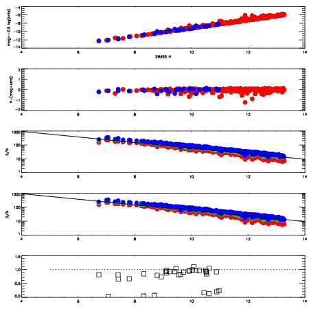
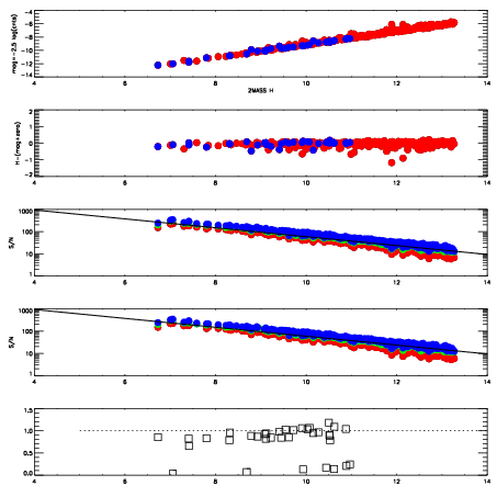
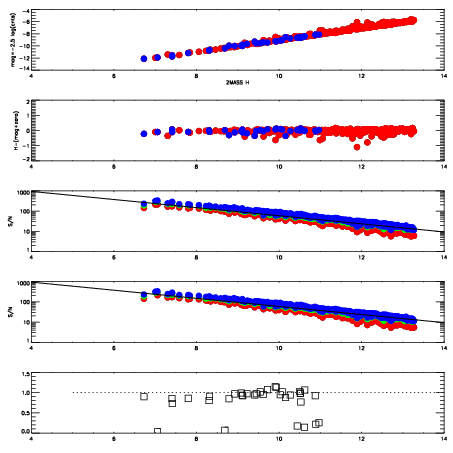
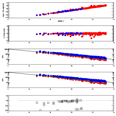
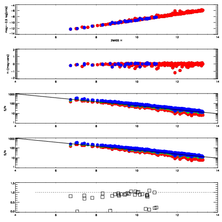
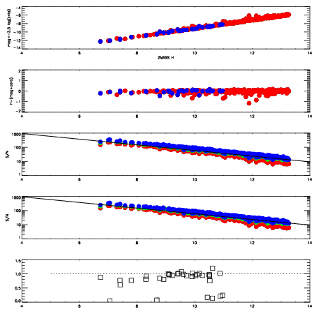
| Frame | Nreads | Zeropoints | Mag plots
| Spatial mag deviation
| Spatial sky 16325A emission deviations (filled: sky, open: star)
| Spatial sky continuum emission
| Spatial sky telluric CO2 absorption deviations (filled: H < 10)
|
| 5240074
| 47
| | Red | Green | Blue
| | z | | 19.19
| | znorm | | 15.01
| | sky | 14.7 | 14.4 | 14.5
| | S/N | 17.2 | 26.4 | 32.3
| | S/N(c) | 15.4 | 25.3 | 31.1
| | SN(E/C) | 0.90
|
|
|
|
|
|
|
| 5240075
| 47
| | Red | Green | Blue
| | z | | 19.15
| | znorm | | 14.97
| | sky | 14.7 | 14.5 | 14.9
| | S/N | 16.7 | 25.8 | 32.2
| | S/N(c) | 15.1 | 24.6 | 30.8
| | SN(E/C) | 0.86
|
|
|
|
|
|
|
| 5240076
| 47
| | Red | Green | Blue
| | z | | 19.12
| | znorm | | 14.94
| | sky | 14.4 | 14.5 | 14.9
| | S/N | 16.1 | 25.3 | 30.8
| | S/N(c) | 14.6 | 24.1 | 29.3
| | SN(E/C) | 0.88
|
|
|
|
|
|
|
| 5240077
| 47
| | Red | Green | Blue
| | z | | 19.17
| | znorm | | 14.99
| | sky | 14.7 | 14.5 | 14.8
| | S/N | 16.4 | 26.2 | 30.7
| | S/N(c) | 14.7 | 24.8 | 29.3
| | SN(E/C) | 0.93
|
|
|
|
|
|
|
| 5240078
| 47
| | Red | Green | Blue
| | z | | 19.20
| | znorm | | 15.02
| | sky | 14.4 | 14.6 | 14.9
| | S/N | 16.9 | 26.6 | 30.7
| | S/N(c) | 15.0 | 25.0 | 29.3
| | SN(E/C) | 0.91
|
|
|
|
|
|
|
| 5240079
| 47
| | Red | Green | Blue
| | z | | 19.20
| | znorm | | 15.02
| | sky | 14.3 | 14.5 | 14.8
| | S/N | 16.8 | 26.4 | 29.8
| | S/N(c) | 15.0 | 24.9 | 28.6
| | SN(E/C) | 0.87
|
|
|
|
|
|
|
| 5240080
| 47
| | Red | Green | Blue
| | z | | 19.18
| | znorm | | 15.00
| | sky | 14.6 | 14.6 | 14.9
| | S/N | 16.4 | 26.3 | 29.4
| | S/N(c) | 14.7 | 24.6 | 28.1
| | SN(E/C) | 0.88
|
|
|
|
|
|
|
| 5240081
| 47
| | Red | Green | Blue
| | z | | 19.09
| | znorm | | 14.91
| | sky | 14.6 | 14.6 | 14.8
| | S/N | 15.6 | 25.0 | 28.3
| | S/N(c) | 13.8 | 23.4 | 27.0
| | SN(E/C) | 0.92
|
|
|
|
|
|
|
| 5240082
| 47
| | Red | Green | Blue
| | z | | 19.06
| | znorm | | 14.88
| | sky | 14.6 | 14.7 | 15.0
| | S/N | 15.4 | 24.5 | 27.8
| | S/N(c) | 13.6 | 23.1 | 26.5
| | SN(E/C) | 0.93
|
|
|
|
|
|
|
| 5240083
| 47
| | Red | Green | Blue
| | z | | 18.98
| | znorm | | 14.80
| | sky | 14.5 | 14.6 | 14.9
| | S/N | 14.3 | 23.5 | 26.8
| | S/N(c) | 12.6 | 22.1 | 25.7
| | SN(E/C) | 0.93
|
|
|
|
|
|
|