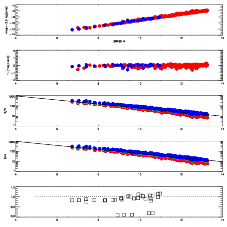
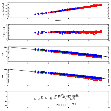
Left plots: red are targets, blue are telluric. Observed mags are calculated from median value of green chip. Zeropoint gives overall throughput: bigger number is more throughput.
First spatial plots: circles are objects, squares are tellurics, crosses are sky fibers. Colors give deviation of observed mag from expected 2MASS mag using the median zeropoint; red is brighter
Second spatial plots: circles are sky fibers. Colors give sky line brightness relative to plate median sky line brightness
FrameNreadsZeropointsMag plots Spatial mag deviation Spatial sky 16325A emission deviations (filled: sky, open: star) Spatial sky continuum emission Spatial sky telluric CO2 absorption deviations (filled: H < 10)
5290010 47
RedGreenBlue
z19.02
znorm14.84
sky 14.6 14.5 14.3
S/N 15.4 25.3 25.3
S/N(c) 13.7 23.2 24.3
SN(E/C) 0.94
5290011 47
RedGreenBlue
z19.03
znorm14.85
sky 14.4 14.7 14.8
S/N 14.9 25.1 25.5
S/N(c) 13.4 23.0 24.4
SN(E/C) 0.90
5290012 47
RedGreenBlue
z19.10
znorm14.92
sky 14.4 14.4 14.7
S/N 15.6 25.9 26.9
S/N(c) 14.0 23.8 25.5
SN(E/C) 0.90
5290013 47
RedGreenBlue
z19.06
znorm14.88
sky 14.5 14.6 14.8
S/N 15.2 25.3 26.1
S/N(c) 13.5 23.1 24.6
SN(E/C) 0.94