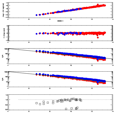
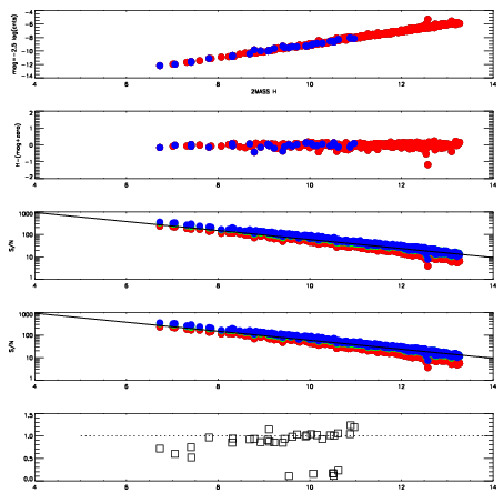
| Frame | Nreads | Zeropoints | Mag plots
| Spatial mag deviation
| Spatial sky 16325A emission deviations (filled: sky, open: star)
| Spatial sky continuum emission
| Spatial sky telluric CO2 absorption deviations (filled: H < 10)
|
| 5310010
| 47
| | Red | Green | Blue
| | z | | 19.00
| | znorm | | 14.82
| | sky | 14.8 | 14.6 | 14.6
| | S/N | 15.2 | 24.8 | 26.4
| | S/N(c) | 13.8 | 23.2 | 25.2
| | SN(E/C) | 0.93
|
|
|
|
|
|
|
| 5310011
| 47
| | Red | Green | Blue
| | z | | 18.99
| | znorm | | 14.81
| | sky | 14.9 | 14.9 | 15.1
| | S/N | 14.7 | 25.0 | 26.4
| | S/N(c) | 13.5 | 23.2 | 25.0
| | SN(E/C) | 0.94
|
|
|
|
|
|
|
| 5310012
| 47
| | Red | Green | Blue
| | z | | 19.05
| | znorm | | 14.87
| | sky | 14.8 | 14.9 | 15.2
| | S/N | 15.7 | 25.9 | 27.1
| | S/N(c) | 14.1 | 24.0 | 25.6
| | SN(E/C) | 0.94
|
|
|
|
|
|
|
| 5310013
| 47
| | Red | Green | Blue
| | z | | 19.05
| | znorm | | 14.87
| | sky | 14.9 | 14.9 | 15.1
| | S/N | 15.6 | 25.6 | 27.5
| | S/N(c) | 14.1 | 24.0 | 26.0
| | SN(E/C) | 0.93
|
|
|
|
|
|
|
| 5310014
| 47
| | Red | Green | Blue
| | z | | 19.11
| | znorm | | 14.93
| | sky | 14.7 | 15.0 | 15.2
| | S/N | 16.0 | 26.4 | 28.3
| | S/N(c) | 14.6 | 24.5 | 26.7
| | SN(E/C) | 0.91
|
|
|
|
|
|
|
| 5310015
| 47
| | Red | Green | Blue
| | z | | 19.12
| | znorm | | 14.94
| | sky | 14.6 | 14.9 | 15.1
| | S/N | 15.7 | 26.4 | 28.1
| | S/N(c) | 14.2 | 24.6 | 26.5
| | SN(E/C) | 0.89
|
|
|
|
|
|
|