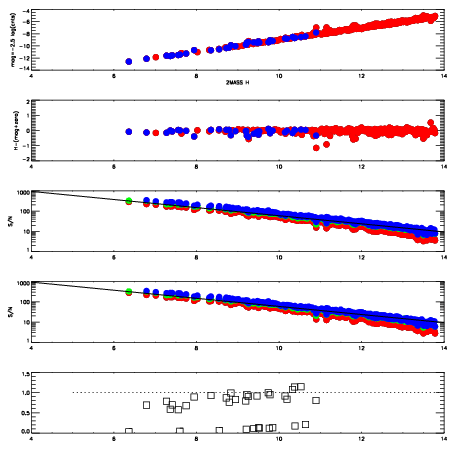
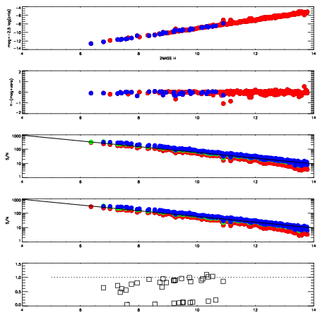
| Frame | Nreads | Zeropoints | Mag plots
| Spatial mag deviation
| Spatial sky 16325A emission deviations (filled: sky, open: star)
| Spatial sky continuum emission
| Spatial sky telluric CO2 absorption deviations (filled: H < 10)
|
| 6110036
| 47
| | Red | Green | Blue
| | z | | 19.17
| | znorm | | 14.99
| | sky | 14.6 | 14.4 | 14.8
| | S/N | 17.7 | 27.8 | 30.6
| | S/N(c) | 15.9 | 26.5 | 28.4
| | SN(E/C) | 0.75
|
|
|
|
|
|
|
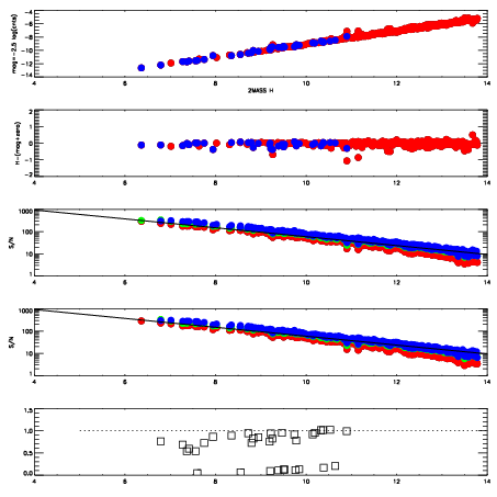
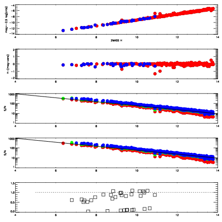
| 6110037
| 47
| | Red | Green | Blue
| | z | | 19.17
| | znorm | | 14.99
| | sky | 14.7 | 14.4 | 15.0
| | S/N | 17.7 | 28.5 | 30.8
| | S/N(c) | 15.8 | 26.8 | 28.4
| | SN(E/C) | 0.76
|
|
|
|
|
|
|
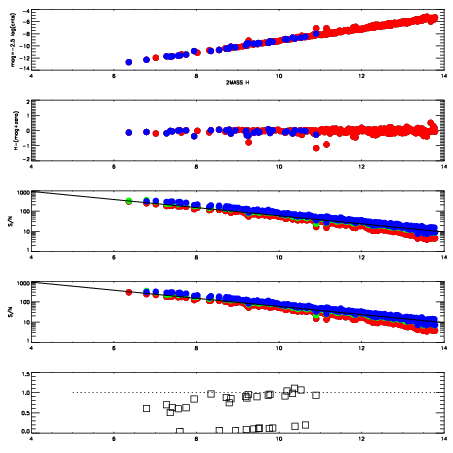
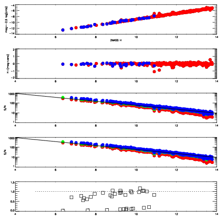
| 6110038
| 47
| | Red | Green | Blue
| | z | | 19.16
| | znorm | | 14.98
| | sky | 14.5 | 14.5 | 14.9
| | S/N | 17.4 | 28.2 | 30.1
| | S/N(c) | 15.6 | 26.6 | 27.7
| | SN(E/C) | 0.78
|
|
|
|
|
|
|
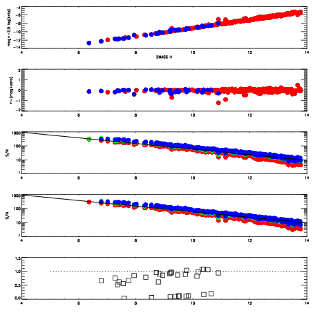
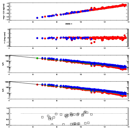
| 6110039
| 47
| | Red | Green | Blue
| | z | | 19.10
| | znorm | | 14.92
| | sky | 14.5 | 14.5 | 14.9
| | S/N | 16.7 | 27.5 | 29.3
| | S/N(c) | 14.6 | 25.5 | 26.8
| | SN(E/C) | 0.76
|
|
|
|
|
|
|
| 6110040
| 47
| | Red | Green | Blue
| | z | | 19.06
| | znorm | | 14.88
| | sky | 14.4 | 14.5 | 14.8
| | S/N | 16.1 | 27.0 | 28.5
| | S/N(c) | 14.5 | 25.0 | 26.1
| | SN(E/C) | 0.81
|
|
|
|
|
|
|
| 6110041
| 47
| | Red | Green | Blue
| | z | | 19.03
| | znorm | | 14.85
| | sky | 14.5 | 14.4 | 14.8
| | S/N | 15.8 | 26.5 | 28.2
| | S/N(c) | 13.9 | 24.6 | 25.6
| | SN(E/C) | 0.78
|
|
|
|
|
|
|
| 6110042
| 47
| | Red | Green | Blue
| | z | | 18.99
| | znorm | | 14.81
| | sky | 14.8 | 14.6 | 14.9
| | S/N | 15.8 | 25.9 | 28.0
| | S/N(c) | 13.9 | 23.7 | 25.6
| | SN(E/C) | 0.78
|
|
|
|
|
|
|
| 6110043
| 47
| | Red | Green | Blue
| | z | | 19.07
| | znorm | | 14.89
| | sky | 14.5 | 14.5 | 14.8
| | S/N | 16.7 | 26.8 | 28.9
| | S/N(c) | 14.4 | 24.8 | 26.5
| | SN(E/C) | 0.82
|
|
|
|
|
|
|