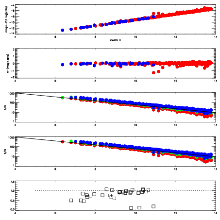
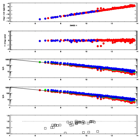
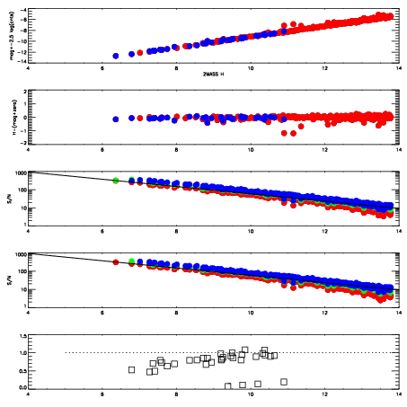
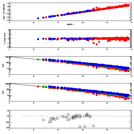
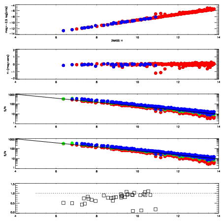
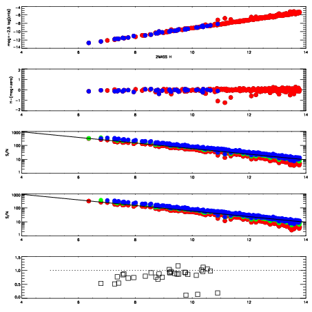
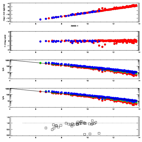
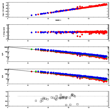
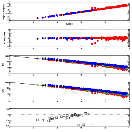
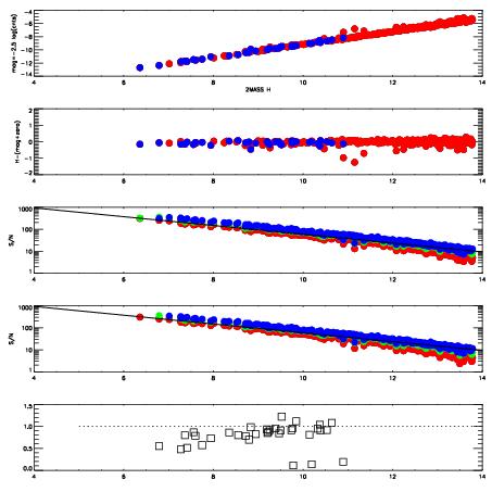
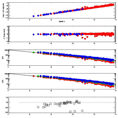
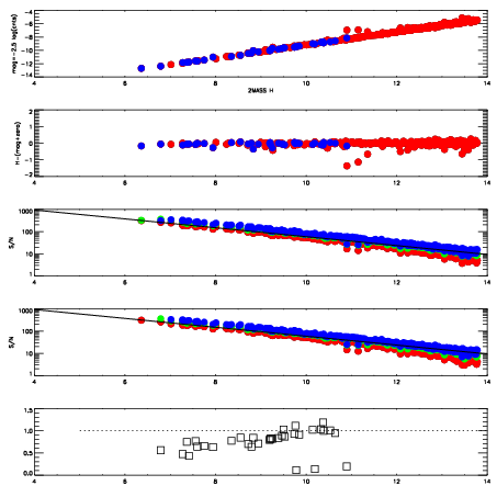
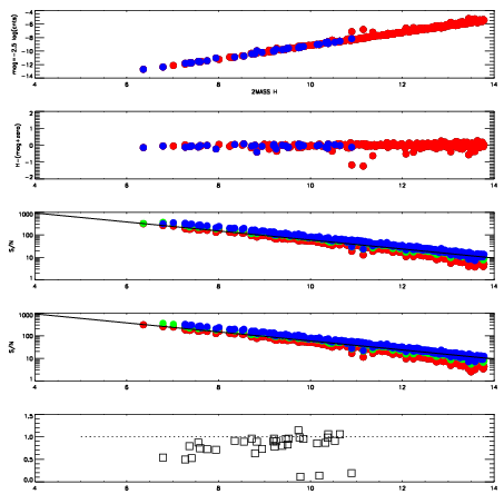
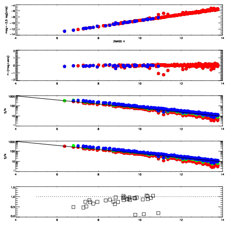
| Frame | Nreads | Zeropoints | Mag plots
| Spatial mag deviation
| Spatial sky 16325A emission deviations (filled: sky, open: star)
| Spatial sky continuum emission
| Spatial sky telluric CO2 absorption deviations (filled: H < 10)
|
| 6410025
| 47
| | Red | Green | Blue
| | z | | 19.20
| | znorm | | 15.02
| | sky | 14.7 | 14.4 | 14.5
| | S/N | 17.0 | 26.5 | 28.4
| | S/N(c) | 15.1 | 25.4 | 26.7
| | SN(E/C) | 0.88
|
|
|
|
|
|
|
| 6410026
| 47
| | Red | Green | Blue
| | z | | 19.20
| | znorm | | 15.02
| | sky | 14.5 | 14.3 | 14.8
| | S/N | 16.7 | 26.5 | 28.7
| | S/N(c) | 15.1 | 25.5 | 26.9
| | SN(E/C) | 0.80
|
|
|
|
|
|
|
| 6410027
| 47
| | Red | Green | Blue
| | z | | 19.22
| | znorm | | 15.04
| | sky | 14.5 | 14.4 | 14.8
| | S/N | 16.6 | 26.7 | 28.6
| | S/N(c) | 15.0 | 25.3 | 26.8
| | SN(E/C) | 0.81
|
|
|
|
|
|
|
| 6410028
| 47
| | Red | Green | Blue
| | z | | 19.22
| | znorm | | 15.04
| | sky | 14.6 | 14.5 | 14.8
| | S/N | 16.8 | 26.8 | 28.6
| | S/N(c) | 15.1 | 25.5 | 26.8
| | SN(E/C) | 0.85
|
|
|
|
|
|
|
| 6410029
| 47
| | Red | Green | Blue
| | z | | 19.20
| | znorm | | 15.02
| | sky | 14.6 | 14.5 | 14.8
| | S/N | 16.5 | 26.6 | 28.4
| | S/N(c) | 14.7 | 25.1 | 26.5
| | SN(E/C) | 0.80
|
|
|
|
|
|
|
| 6410030
| 47
| | Red | Green | Blue
| | z | | 19.21
| | znorm | | 15.03
| | sky | 14.6 | 14.5 | 14.8
| | S/N | 16.6 | 26.8 | 28.6
| | S/N(c) | 15.0 | 25.4 | 26.6
| | SN(E/C) | 0.85
|
|
|
|
|
|
|
| 6410031
| 47
| | Red | Green | Blue
| | z | | 19.20
| | znorm | | 15.02
| | sky | 14.7 | 14.5 | 14.9
| | S/N | 16.6 | 26.9 | 28.5
| | S/N(c) | 14.9 | 25.4 | 26.5
| | SN(E/C) | 0.87
|
|
|
|
|
|
|
| 6410032
| 47
| | Red | Green | Blue
| | z | | 19.20
| | znorm | | 15.02
| | sky | 14.7 | 14.6 | 15.0
| | S/N | 16.8 | 26.7 | 28.5
| | S/N(c) | 15.1 | 25.3 | 26.7
| | SN(E/C) | 0.86
|
|
|
|
|
|
|
| 6410033
| 47
| | Red | Green | Blue
| | z | | 19.18
| | znorm | | 15.00
| | sky | 14.5 | 14.5 | 14.9
| | S/N | 16.2 | 26.5 | 28.2
| | S/N(c) | 14.6 | 25.3 | 26.4
| | SN(E/C) | 0.87
|
|
|
|
|
|
|
| 6410034
| 47
| | Red | Green | Blue
| | z | | 19.19
| | znorm | | 15.01
| | sky | 14.5 | 14.5 | 14.8
| | S/N | 16.5 | 26.6 | 28.3
| | S/N(c) | 14.8 | 25.4 | 26.6
| | SN(E/C) | 0.83
|
|
|
|
|
|
|
| 6410035
| 47
| | Red | Green | Blue
| | z | | 19.20
| | znorm | | 15.02
| | sky | 14.5 | 14.7 | 14.9
| | S/N | 16.5 | 26.8 | 28.6
| | S/N(c) | 14.9 | 25.4 | 26.6
| | SN(E/C) | 0.86
|
|
|
|
|
|
|
| 6410036
| 47
| | Red | Green | Blue
| | z | | 19.16
| | znorm | | 14.98
| | sky | 14.6 | 14.6 | 14.9
| | S/N | 16.0 | 26.2 | 28.0
| | S/N(c) | 14.4 | 24.9 | 26.2
| | SN(E/C) | 0.88
|
|
|
|
|
|
|
| 6410037
| 47
| | Red | Green | Blue
| | z | | 19.12
| | znorm | | 14.94
| | sky | 14.5 | 14.6 | 14.9
| | S/N | 16.0 | 25.8 | 27.3
| | S/N(c) | 14.4 | 24.5 | 25.5
| | SN(E/C) | 0.93
|
|
|
|
|
|
|
| 6410038
| 47
| | Red | Green | Blue
| | z | | 19.14
| | znorm | | 14.96
| | sky | 14.6 | 14.5 | 14.9
| | S/N | 16.3 | 26.0 | 27.7
| | S/N(c) | 14.6 | 24.9 | 25.8
| | SN(E/C) | 0.92
|
|
|
|
|
|
|